Câu hỏi trắc nghiệm môn Toán lớp 12: Sự đồng biến, nghịch biến của hàm số
Câu hỏi trắc nghiệm môn Toán lớp 12: Sự đồng biến, nghịch biến của hàm số
Câu hỏi trắc nghiệm môn Toán lớp 12: Sự đồng biến, nghịch biến của hàm số tổng hợp các bài tập trắc nghiệm về tính đơn điệu của các dạng hàm số: hàm bậc ba, hàm bậc bốn, hàm phân thức, hàm chứa căn, hàm lượng giác... Hi vọng tài liệu này sẽ giúp các bạn ôn thi THPT Quốc gia môn Toán trắc nghiệm hiệu quả.
SỰ ĐỒNG BIẾN, NGHỊCH BIẾN CỦA HÀM SỐ
HÀM BẬC BA
* Tìm các khoảng đơn điệu của hàm số



Câu 19. Cho hàm số
(với m là tham số). Với giá trị nào của tham số m, hàm số luôn đồng biến trên tập xác định?
A.
B. ![]()
C.
D. Một kết quả khác
Câu 20. Cho hàm số
(với m là tham số). Với giá trị nào của m thì hàm số đồng biến trên tập xác định:
A. ![]()
B. ![]()
C. ![]()
D. ![]()
Câu 21. Định tham số m để hàm số
luôn nghịch biến khi:
A.
B. ![]()
C.
D. ![]()
Câu 22. Với điều kiện nào của tham số m thì hàm số
luôn đồng biến trên tập xác định của nó?
A.
B.
C.
D. ![]()
Câu 23. Cho hàm số
(với m là tham số). Có bao nhiêu giá trị nguyên của tham số m để hàm số đã cho nghịch biến trên ?
A. Không có giá trị B. 2 C. 0 D. Vô số giá trị
Tìm điều kiện để hàm số đơn điệu trên khoảng K cho trước
Câu 24. Hàm số
nghịch biến trên khoảng (-1; 1) thì giá trị tham số m bằng:
A. 1 B. 2 C. 3 D. -1
Câu 25. Với giá trị nào của hàm số
nghịch biến trên khoảng (-1; 1)?
A.
B.
C.
D. ![]()
Câu 26. Tìm m để hàm số
đồng biến trên khoảng (0; 3)?
A.
B.
C.
D. ![]()
Câu 27. Hàm số
đồng biến trên khoảng
khi:
A.
B.
C.
D. ![]()
Câu 28. Hàm số
đồng biến trên khoảng
khi:
A.
B.
C.
D. ![]()
Câu 29. Cho hàm số
(với m là tham số). Tìm tất cả các giá trị của tham số m để hàm số (1) đã cho đồng biến trên khoảng
?
A.
B.
C.
D. ![]()
Câu 30. Tìm tất cả các giá trị thực của tham số m để hàm số
đồng biến trên khoảng
?
A.
B.
C. Không có m D. Mọi ![]()
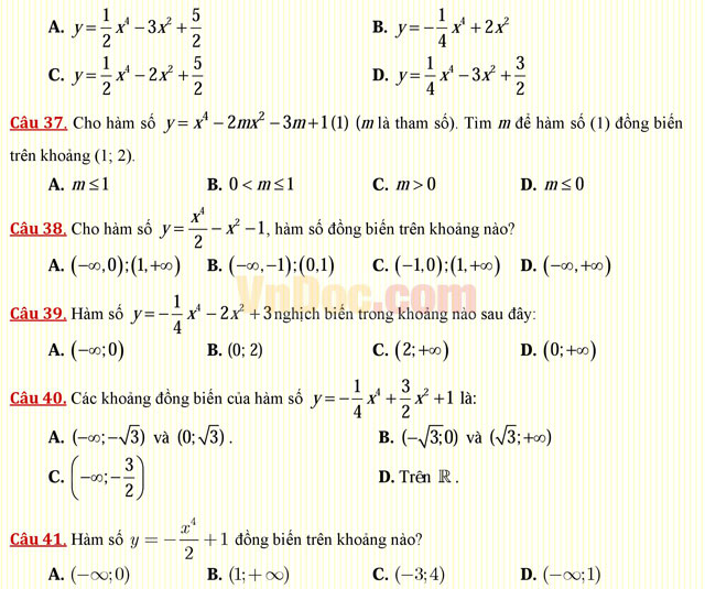
HÀM BẬC BỐN TRÙNG PHƯƠNG
* Tìm các khoảng đơn điệu của hàm số


HÀM PHÂN THỨC
* Tìm các khoảng đơn điệu của hàm số


Câu 56. Cho hàm số
và
là tập xác định của hàm số. Khẳng định nào sau đây đúng?
A. Hàm số đồng biến trên từng khoảng xác định, khi 
B. Hàm số đồng biến trên từng khoảng xác định, khi 
C. Hàm số nghịch biến trên từng khoảng của tập xác định, khi 
D. Hàm số nghịch biến trên từng khoảng của tập xác định, khi 
Câu 57. Cho hàm số
. Chọn khẳng định đúng.
A. Hàm số nghịch biến trên các khoảng
và ![]()
B. Hàm số đồng biến trên các khoảng
và ![]()
C. Hàm số nghịch biến trên các khoảng
và ![]()
D. Hàm số đồng biến trên các khoảng
và ![]()
Câu 58. Cho hàm số
. Khẳng định đúng là:
A. Nghịch biến trên
.
B. Nghịch biến trên ![]()
C. Nghịch biến trên các khoảng
.
D. Đồng biến trên các
.
Câu 59. Kết luận nào sau đây về tính đơn điệu của hàm số
là đúng?
A. Hàm số đồng biến trên các khoảng
và
.
B. Hàm số luôn luôn đồng biến trên
.
C. Hàm số nghịch biến trên các khoảng
và
.
D. Hàm số luôn luôn nghịch biến trên
.
Câu 60. Cho hàm số
. Khẳng định nào sau đây là khẳng định sai?
A. Đồ thị hàm số có tiệm cận đứng là
.
B. Hàm số không xác định tại điểm
.
C. Hàm số nghịch biến trên
.
D. Đồ thị hàm số cắt trục hoành tại điểm có hoành độ bằng
.
Câu61. Các khoảng đơn điệu của hàm số
là:
A. Đồng biến trên các khoảng
và
. Nghịch biến trên các khoảng
và
.
B. Đồng biến trên khoảng
. Nghịch biến trên khoảng
.
C. Đồng biến trên khoảng
. Nghịch biến trên khoảng
.
D. Đồng biến trên khoảng
. Nghịch biến trên khoảng
.
Câu 62. Cho hàm số
. Phát biểu nào sau đây là đúng?
A. Hàm số đồng biến trên khoảng
và nghịch biến trên khoảng
.
B. Hàm số nghịch biến trên
.
C. Hàm số đồng biến trên khoảng
.
D. Hàm số nghịch biến trên các khoảng
và
.
Câu 63. Giá trị nào của m thì hàm số
nghịch biến trên từng khoảng xác định:
A.
. B.
. C.
. D.
.
Câu 64. Hàm số
. luôn đồng biến trên từng khoảng xác định với m?
A.
B.
C.
D. ![]()
Câu 65. Tìm các giá trị thực của tham số m để hàm số
đồng biến trên từng khoảng xác định của nó?
A.
B. ![]()
C.
D.
và ![]()
Câu 66. Tìm tất cả cả các giá trị thực của tham số m để hàm số
đồng biến trên từng khoảng xác định của nó?
A.
B.
C.
D. ![]()
Câu 67. Hàm số
đồng biến trên
khi và chỉ khi:
A.
B.
C.
D. ![]()
Câu 68. Các giá trị của tham số m để hàm số
nghịch biến trên khoảng
là:
A.
B. ![]()
C.
D. ![]()
Câu 69. Tìm tất cả các giá trị thực của tham số m để hàm số
nghịch biến trên từng khoảng xác định của nó?
A.
và
B. ![]()
C.
D.
hoặc ![]()
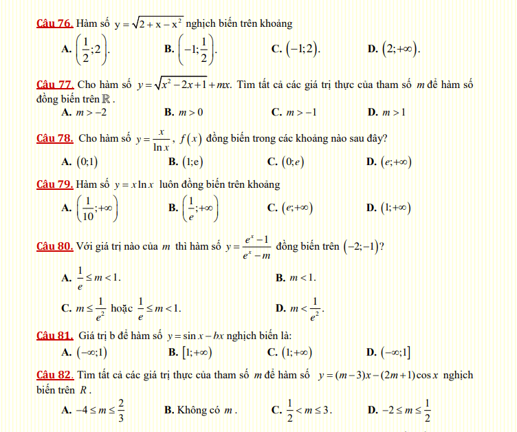
HÀM BẬC HAI, HÀM CHỨA CĂN, HÀM LƯỢNG GIÁC, LOGARIT




Đáp án bài tập trắc nghiệm
| 1 - C | 2 - D | 3 - C | 4 - A | 5 - C | 6 - B | 7 - A | 8 - B | 9 - D | 10 - C |
| 11 - D | 12 - A | 13 - D | 14 - A | 15 - B | 16 - D | 17 - C | 18 - D | 19 - B | 20 - D |
| 21 - D | 22 - A | 23 - A | 24 - A | 25 - C | 26 - A | 27 - C | 28 - D | 29 - B | 30 - A |
| 31 - B | 32 - D | 33 - A | 34 - C | 35 - D | 36 - A | 37 - A | 38 - C | 39 - D | 40 - A |
| 41 - A | 42 - D | 43 - D | 44 - A | 45 - B | 46 - D | 47 - A | 48 - A | 49 - A | 50 - D |
| 51 - D | 52 - D | 53 - B | 54 - C | 55 - C | 56 - A | 57 - C | 58 - C | 59 - A | 60 - C |
| 61 - A | 62 - C | 62 - C | 64 - A | 65 - A | 66 - A | 67 - A | 68 - B | 69 - B | 70 - A |
| 71 - C | 72 - B | 73 - A | 74 - B | 75 - A | 76 - A | 77 - D | 78 - D | 79 - B | 80 - C |
| 81 - B | 82 - A | 83 - C | 84 - D | 85 - A | 86 - C | 87 - B | 88 - A | 89 - A | 90 - A |
| 91 - B | 92 - A | 93 - D |
Mời các bạn tải file đầy đủ về tham khảo.
Trên đây VnDoc.com vừa giới thiệu tới các bạn Câu hỏi trắc nghiệm môn Toán lớp 12: Sự đồng biến, nghịch biến của hàm số. Bài viết cho chúng ta thấy được những câu hỏi trắc nghiệm môn Toán lớp 12 về sự đồng biến, nghịch biến của hàm số. Mong rằng qua bài viết này các bạn có thể học tập tốt hơn môn Toán lớp 12. Mời các bạn cùng tham khảo thêm các môn Ngữ văn 12, Tiếng Anh 12, đề thi học kì 1 lớp 12, đề thi học kì 2 lớp 12...
- 300 câu hỏi trắc nghiệm môn Toán lớp 12 (Có đáp án)
- Bài tập trắc nghiệm cực trị của hàm số và điểm uốn (Có đáp án)
- Bài tập trắc nghiệm tính đơn điệu của hàm số
- Câu hỏi trắc nghiệm môn Toán lớp 12: Cực trị của hàm số
- Lý thuyết Toán 12 chương 1: Sự đồng biến, nghịch biến của hàm số
- Đề kiểm tra 15 phút môn Toán 12: Sự đồng biến, nghịch biến của hàm số