Bài tập phương trình mũ
Bài tập phương trình mũ
Bài tập phương trình mũ là bài tập giải tích lớp 12, tổng hợp các dạng và cách giải phương trình mũ: dùng phép biến đổi tương đương, phương pháp đặt ẩn phụ, phương pháp lôgarit hóa... Hi vọng tài liệu này sẽ giúp các bạn học tốt môn Toán 12. Mời các bạn tham khảo chi tiết tại đây nhé.
- 9 phương pháp giải phương trình mũ và phương trình lôgarit
- Bài tập hàm số mũ và logarit
- Phương pháp giải bất phương trình vô tỷ chứa căn (Có lời giải)
- Toán 12 Bài 5: Phương trình mũ và Phương trình Logarit
VnDoc.com xin gửi tới bạn đọc bài viết Bài tập phương trình mũ để bạn đọc cùng tham khảo. Bài viết được tổng hợp gồm có các dạng phương pháp giải phương trình mũ như dùng phép biến đổi tương đương, phương pháp đặt ẩn phụ, phương pháp lôgarit hóa, phương pháp sử dụng tính đơn điệu của hàm số... Đi kèm với lý thuyết là các dạng bài tập kèm theo. Qua phần bài tập bạn đọc có thể luyện tập được phương pháp giải phương trình mũ. Mời các bạn cùng tham khảo chi tiết và tải về tại đây nhé.
Dạng 1: Dùng phép biến đổi tương đương đưa ptr đã cho về dạng af(x) = ag(x) (1) với a là một số dương và khác 1 (ví dụ: a = 2; a = 7/2, ví dụ phương trình 32x+3.52x+3 = 35x.55x)
Khi đó: (1) af(x) = ag(x) <=> f(x) = g(x)
Dạng 2: Nếu cơ số a = h(x) là một biểu thức có chứa ẩn số x (ví dụ: ptr (x2 - 1)x2+2x = (x2 - 1)3) thì:

Dạng 3: Phương pháp đặt ẩn phụ
Đặt t = af(x) với a và f(x) thích hợp để đưa phương trình biến số x đã cho về phương trình mới với biến t, giải phương trình này tìm t (nhớ so điều kiện t > 0) rồi từ đó tìm x.
Ví dụ: 9x - 4.3x - 45 = 0 đặt ẩn phụ t = 3x, đk: t > 0.
Ví dụ: ![]()
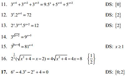
BÀI TẬP DẠNG 1


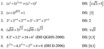
BÀI TẬP DẠNG 2

(Còn tiếp)
Trên đây VnDoc.com vừa giới thiệu tới các bạn Bài tập phương trình mũ, mong rằng qua bài viết này các bạn có thể học tập tốt hơn môn Toán lớp 12. Mời các bạn cùng tham khảo thêm các môn Ngữ văn 12, tiếng Anh 12, đề thi học kì 1 lớp 12, đề thi học kì 2 lớp 12...
Mời bạn đọc cùng tham gia nhóm Tài liệu học tập lớp 12 để có thêm tài liệu học tập nhé