Giải bài tập Toán 12 chương 3 bài 3: Ứng dụng của tích phân trong hình học
Giải bài tập Toán 12 chương 3 bài 3
VnDoc.com xin giới thiệu tới các bạn học sinh lớp 12 tài liệu: Giải bài tập Toán 12 chương 3 bài 3: Ứng dụng của tích phân trong hình học, chắc chắn tài liệu sẽ giúp các bạn học sinh rèn luyện giải bài tập Toán một cách nhanh và chính xác nhất.
Giải bài tập Toán 12 chương 3 bài 1: Nguyên hàm
Giải bài tập Toán 12 chương 3 bài 2: Tích phân
Giải bài tập Toán 12 ôn tập chương 3: Nguyên hàm - Tích phân và ứng dụng
Giải bài tập Toán 12 chương 3 bài 3: Ứng dụng của tích phân trong hình học
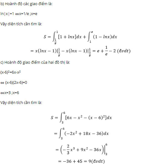
Bài 1 (trang 121 SGK Giải tích 12): Tính diện tích hình phẳng giới hạn bởi các đường:

Lời giải


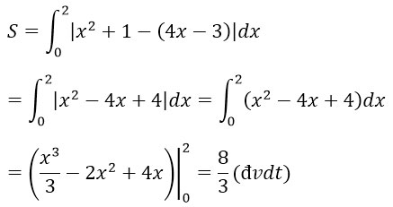
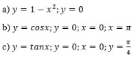
Bài 2 (trang 121 SGK Giải tích 12): Tính diện tích hình phẳng giới hạn bởi đường cong y = x2+1, tiếp tuyến với đường này tại điểm M(2; 5) và trục Oy.
Lời giải:
Phương trình tiếp tuyến với đường cong y = x2 + 1 tại điểm M(2; 5) là :
y'=y' (2)[x - 2] + 5 ⇔ y = 4x - 3
Điểm M(2; 5) thuộc đường y = x2 + 1 vì 5 = 22 + 1
Vậy diện tích cần tìm là:

Bài 3 (trang 121 SGK Giải tích 12): Parabol y=x2/2 chia hình tròn có tâm tại gộc toạ độ, bán kính 2√2 thành hai phần. Tìm tỉ số diện tích của chúng.
Lời giải:

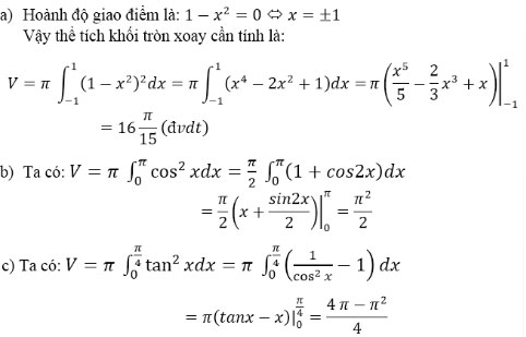
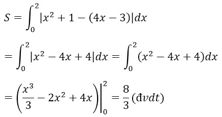
Bài 4 (trang 121 SGK Giải tích 12): Tính thể tích khối tròn xoay đó hình phẳng giới hạn bởi các đường sau quay quanh Ox:

Lời giải

Bài 5 (trang 121 SGK Giải tích 12): Cho tam giác vuông OPM có cạnh OP nằm trên trục Ox.

Lời giải
