Cực trị của hàm số: Trắc nghiệm cực trị hàm số
Toán 12 chương 1: Cực trị của hàm số
VnDoc.com xin giới thiệu tới bạn đọc tài liệu: Trắc nghiệm Toán 12 chương 1: Cực trị của hàm số, bộ tài liệu gồm 29 câu hỏi trắc nghiệm kèm theo đáp án và lời giải chi tiết sẽ giúp các bạn học sinh rèn luyện cách giải bài tập Toán 12 một cách hiệu quả nhất. Mời các bạn học sinh và thầy cô tham khảo.
- Lý thuyết Toán 12 chương 1: Sự đồng biến, nghịch biến của hàm số
- Trắc nghiệm Toán 12 chương 1: Sự đồng biến, nghịch biến của hàm số
- Giải bài tập trang 18 SGK Giải tích lớp 12: Cực trị của hàm số
- Lý thuyết Toán 12 chương 1: Cực trị của hàm số
- Lý thuyết Toán 12 chương 1: Giá trị lớn nhất và giá trị nhỏ nhất của hàm số
VnDoc.com xin gửi tới bạn đọc bài viết Cực trị của hàm số: Trắc nghiệm cực trị hàm số để bạn đọc cùng tham khảo. Bài viết được VnDoc.com tổng hợp 29 câu hỏi trắc nghiệm về cực trị hàm số, câu hỏi có đáp án đi cùng, kèm theo đó là lời giải chi tiết. Mời các bạn cùng tham khảo chi tiết và tải về tại đây.
Trắc nghiệm Toán 12 chương 1: Cực trị của hàm số
Câu 1: Cho hàm số y = f(x) có đồ thị như hình vẽ. Điểm cực đại của đồ thị hàm số là?

A. M(0; 2)
B. N(-2; -14)
C. P(2; -14)
D. N(-2; -14) và P(2; -14)
Câu 2: Cho hàm số y = f(x) xác định, liên tục trên R và có bảng biến thiên

Mệnh đề nào sau đây là đúng?
A. Hàm số có đúng hai cực trị
B. Hàm số có điểm cực tiểu là -2
C. Hàm số có giá trị cực đại bằng 0.
D. Hàm số đạt cực đại tại x = 0 đạt cực tiểu tại x = -1 và x = 1
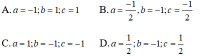
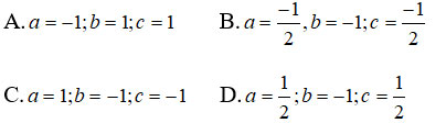
Câu 3: Tìm a, b, c sao cho hàm số y = x3 + ax2 + bx + c có giá trị bằng 0 khi x = 1 và đạt cực trị khi bằng 0 khi x = -1.

Câu 4: Trong các mệnh đề sau, mệnh đề nào đúng?
Nếu f'(x0) = 0 thì x0 là điểm cực trị của hàm số.
B. Nếu f'(x0) = 0 thì x0 là điểm cực đại của hàm số.
C. Nếu f'(x0) = 0 và f''(x0) > 0 thì x0 là điểm cực đại của hàm số.
D. Nếu f(x) có đạo hàm tại x0 và f’(x) đổi dấu khi x đi qua x0 thì x0 là điểm cực trị của hàm số.
Câu 5: Tìm tất cả các giá trị của tham số m để hàm số y = x3 - 2x2 +mx + 1 đạt cực đại tại x = 1.
A.m = -1
B. m = 1
C. m = 4/3
D. Không tồn tại.
Câu 6: Cho hàm số y = x3 - 2x2 + 3. Điểm M(0; 3) là:
A. Cực đại của hàm số
C. Điểm cực đại của đồ thị hàm số
B. Điểm cực đại của hàm số
D. Điểm cực tiểu của đồ thị hàm số
Câu 7: Tìm điểm cực đại của hàm số y = sin2x + √3cosx + 1 với x ∈ (0; π)
A. x = 0
B. x = π
C. π/6
D. π/3
Câu 8: Có bao nhiêu mệnh đề đúng trong các phát biểu sau?
1. Hàm số không có đạo hàm tại x = 0.
2. Hàm số không lien tục tại x = 0.
3. Hàm số không có cực trị tại x = 0.
4. Hàm số đạt cực trị tại x = 0.
A. 0
B. 1
C. 2
D. 3.
Câu 9: Cho hàm số y = -3x4 - 2x3 + 3. Hàm số có?
A. Một cực đại và hai cực tiểu
B. Một cực tiểu và hai cực đại
C. Một cực đại và không có cực tiểu
D. Một cực tiểu và một cực đại.
Câu 10: Đồ thị hàm số nào sau đây có ba điểm cực trị (a là tham số nhận giá trị âm)?
A. y = x4 - 2ax2 + 3
B. y = ax4 - 2x2 + 3
C. y = a2x4 - 2x2 + 3
D. y = x4 + 2x2 + 3a
Câu 11: Tìm m để đồ thị hàm số y = x4 - 2(m + 1)x2 + m 2 có ba điểm cực trị tạo thành ba đỉnh của một tam giác vuông
A. m = 0
B. m = -1
C. m = 0 hoặc m = -1
D. Không có đáp án
Câu 12: Cho hàm số f có đạo hàm là f'(x) = x(x+1)2(x-2)4 với mọi x ∈ R. Số điểm cực trị của hàm số f là?
A. 0
B. 1
C. 2
D.3
Câu 13: Điểm cực đại của hàm số y = -x3 - 3x2 + 1 là?
A. x = 0
B. x = -2
C. x = 2
D. Không tồn tại
Câu 14: Điểm cực tiểu của hàm số y = x4 + 4x2 + 2 là?
A. x = 1
B. x = √2
C. x = 0
D. Không tồn tại
Câu 15: Cho hàm số y = x3 - 2x2 - 1 (1) và các mệnh đề
(1) Điểm cực trị của hàm số (1) là x = 0 hoặc x = 4/3
(2) Điểm cực trị của hàm số (1) là x = 0 và x = 4/3
(3) Điểm cực trị của đồ thị hàm số (1) là x = 0 và x = 4/3
(4) Cực trị của hàm số (1) là x = 0 và x = 4/3
Trong các mệnh đề trên, số mệnh đề sai là?
A.0
B.1
C.2
D.3
Câu 16: Cho hàm số y = x4 - 2x2 - 2 (2). Khẳng định nào sau đây là đúng?
A. Hàm số (2) đạt cực đại tại y = -2
B. Hàm số (2) đạt giá trị cực đại tại y = -2
C. Đồ thị hàm số (2) có điểm cực đại là y = -2
D. Hàm số (2) có giá trị cực đại là y = -2
Câu 17: Hàm số y = cosx đạt cực trị tại những điểm

Câu 18: Với giá trị nào của m, hàm số y = x3 - 2x2 + mx - 1 không có cực trị?

Câu 19: Với giá trị nào của m, hàm số y = -mx4 + 2(m - 1)x2 + 1 - 2m có một cực trị?
A.0 ≤ m ≤ 1
B. m > 1 hoặc m < 0
C. 0 < m < 1
D. 0 < m ≤ 1
Câu 20: Giá trị của m để hàm số y = x3 - 3mx2 + (m2 - 1)x + 2 đạt cực đại tại x = 2 là?
A. m = 1
B. m = 11
C. m = -1
D. Không tồn tại
Câu 21: Với giá trị nào của m, hàm số y = (x - m)3 - 3x đạt cực tiểu tại điểm có hoành độ x = 0?
A. m = 1
B. m = -1
C. m = 0
D. Không tồn tại
Câu 22: Với giá trị nào của m, hàm số y = x3 + 2(m - 1)x2 + (m2 - 4m + 1)x + 2(m2 + 1) có hai điểm cực trị x1,x2 thỏa mãn
A. m = 1/2
B. m = 2
C. m = 1/2 hoặc m = 2
D. Không tồn tại
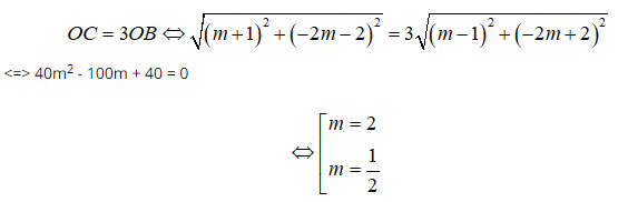
Câu 23: Với giá trị nào của m, đồ thị hàm số y = x3 - mx2 + 3(m2 - 1)x - m3 + m có điểm cực đại B, điểm cực tiểu C thỏa mãn OC = 3OB, với O là gốc tọa độ?
A. m = 1/2
B. m = 3
C. m = 1/2 hoặc m = 2
D. Không tồn tại
Câu 24: Với giá trị nào của m, đồ thị hàm số y = x3 - 3mx2 + m có hai điểm cực trị B, C thẳng hàng với điểm A(-1;3)?
A. m = 0
B. m = 1
C. m = -3/2
D. m = -3/2 hoặc m = 1
Câu 25: Cho hàm số y = x3 - 3x2 - 6x + 8 (C). Phương trình đường thẳng đi qua hai điểm cực trị của đồ thị hàm số (C) là?
A. y = 6x - 6
B. y = -6x - 6
C. y = 6x + 6
D. y = -6x + 6
Câu 26: Cho hàm số y = x3 -3x2 - 9x + 4. Phương trình đường thẳng đi qua hai điểm cực trị của đồ thị hàm số trên là?
A. y = -8x - 17
B. y = x + 7
C. y = -x + 1
D. Không tồn tại
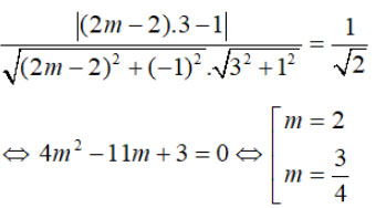
Câu 27: Với giá trị nào của m, đường thẳng đi qua hai điểm cực trị của đồ thị hàm số y = x3 - 3x2 + 3mx + 1 - m tạo với đường thẳng Δ: 3x + y - 8 = 0 một góc 45o ?
A. m = 0
B. m = 2
C.m = 3/4
D. m = 2 hoặc m = 3/4
Câu 28: Với giá trị nào của m, đồ thị hàm số y = x3 + 3x2 + m2x + m có hai điểm cực trị đối xứng qua đường thẳng?
\(y=\frac{1}{2}x-\frac{5}{2}?\)
A. m = 0
B. m = 1
C. m = -1
D. Không tồn tại
Câu 29: Với giá trị nào của m, đồ thị hàm số y = x4 - 2mx2 + m4 + 2m có ba điểm cực trị tạo thành tam giác đều?
A. m = 0
B. m = ∛3
C.-∛3
D. Không tồn tại
Hướng dẫn giải và đáp án trắc nghiệm Toán 12 chương 1
| 1-A | 2-D | 3-C | 4-D | 5-D |
| 6-A | 7-C | 8-C | 9-C | 10-C |
| 11-A | 12-B | 13-A | 14-C | 15-D |
| 16-D | 17-A | 18-A | 19-A | 20-B |
| 21-B | 22-C | 23-C | 24-D | 25-D |
| 26-A | 27-C | 28-D | 29-B |
Câu 6:
Chọn đáp án C.
Chú ý. Phân biệt các khái niệm: cực trị, điểm cực trị của hàm số, điểm cực trị của đồ thị hàm số.
Câu 7:
Ta có: y' = 2sinxcosx - √3sinx, y'' = 2cos2x - √3cosx.
Với x ∈ (0; π) thì y' = 2sinxcosx - √3sinx = 0
⇒
\(x=\frac{\pi}{6};\ y\)
Nên hàm số đạt cực đại tại x = π/6
Chọn đáp án C.
Câu 8:

Đồ thị hàm số y = |x| có dạng hình vẽ.
Từ đồ thị trong hình ta có hàm số y = |x| liên tục tại x = 0 nhưng không có đạo hàm tại điểm đó. Sử dụng định nghĩa cực trị ta có hàm số y = |x| đạt cực tiểu tại x = 0
Do đó mệnh đề 1 và 4 đúng.
Chọn đáp án C
Câu 9:

Ta có y' = -12x3 - 4x
Xét y'=0 => x = 0
Hàm số chỉ có một cực đại tại x = 0.
Chọn đáp án C.
Câu 10:
Để đồ thị hàm số có ba điểm cực trị thì y' = 0 có ba nghiệm phân biệt. Do a là tham số nhận giá trị âm nên chỉ có y = a2x4 - 2x2 + 3 thỏa mãn.
Chọn đáp án C
Câu 11:
Ta có: y' = 4x3 - 4(m + 1)x = 4x(x2 - m - 1)
Để hàm số có ba điểm cực trị thì y' = 0 có ba nghiệm phân biệt <=> m > - 1
Khi đó đồ thị hàm số có ba điểm cực trị là

Đối chiếu điều kiện tồn tại cực trị ta có m = 0 là giá trị cần tìm. Chọn đáp án A.
Câu 12:
Ta có

Dựa vào bảng biến thiên ta thấy hàm số đạt cực tiểu tại x = 0. Vậy hàm số có một cực trị
Câu 13:
Ta có y' = -3x2 - 6x, y'' = -6x - 6 .
Xét y = 0 ⇒ -3x (x+2) =0 ⇔ x = 0, x = -2
y''(0) = -6 < 0; y''(-2) = 6 > 0
Do đó hàm số đạt cực đại tại x = 0
Câu 14:
Ta có: y' = 4x3 + 8x, y'' = 12x2 + 8. y' = 0 <=> 4x(x2 + 2) = 0 <=> x = 0
y''(0) = 2 > 0. Do đó hàm số đạt cực tiểu tại x = 0
Câu 15:
Ta có: y' = 3x2 - 4x, y'' = 6x - 4;
y = 0 ⇔ x(3x-4) = 0 ⇔ x = 0, x = 4/3
y''(0) = -4 < 0; y''(4/3) = 4 > 0. Do đó hàm số có hai cực trị là x = 0 và x = 4/3
Câu 16:
Ta có: y' = 4x3 - 4x, y'' = 12x2 - 4
y' = 0 ⇔ 4x (x2-1) ⇔ x = 0; x = -1; x = 1
y''(-1) = 8 > 0; y''(1) = 8 > 0
Do đó hàm số đạt cực đại tại x = 0 và có giá trị cực đại là y(0)=-2
Câu 17:
y' = -sinx; y'' = -cosx. y' = 0 <=> -sinx = 0 <=> x = kπ
y''(kπ) = ±1. Do đó hàm số đạt cực trị tại x = kπ
Câu 18:
y' = 3x2 - 4x + m. Hàm số không có cực trị <=> y’=0 vô nghiệm hoặc có nghiệm kép <=> Δ' ≤ 0 <=> 22 - 3m ≤ 0 <=> m ≥ 4/3
Do đó hàm số không có cực trị khi m ≥ 4/3
Câu 19:
Xét hàm số y = -mx4 +2(m - 1)x2 + 1 - 2m(1)
TH1: m = 0 (1) trở thành y = -2x2 + 1
Vậy với m = 0 hàm số luôn có một cực trị.
TH2: m ≠ 0. y' = -4mx3 + 4(m - 1)x
y' = 0 ⇔ -4x (mx2 - m + 1) = 0 ⇔ x = 0, x2 = m - 1/m
Để hàm số (1) có một cực trị thì x2 = m - 1/m
vô nghiệm hoặc có nghiệm kép bằng 0 m - 1/m ≤ 0 ⇔ 0 < m ≤ 1
Kết hợp cả hai trường hợp ta có 0 ≤ m ≤ 1
Câu 20:
y' = 3x2 - 6mx + m2 - 1; y'' = 6x - 6m
Hàm số đạt cực đại tại x = 2 khi

Câu 21:
Xét y = x3 - 3mx2 + (3m2 - 3)x - m2
Ta có: y' = 32 - 6mx + 3m2 - 3, y'' = 6x - 6m
Hàm số đạt cực tiểu tại điểm có hoành độ x = 0 khi

Câu 22:
Ta có y' = 3x2 + 4(m - 1)x + m2 - 4m + 1. Hàm số có hai cực trị
=> y' = 0 có hai nghiệm phân biệt <=> Δ' > 0 <=> 4(m - 1)2 - 3(m2 - 4m + 1) > 0
<=> m2 + 4m + 1 > 0

Đối chiếu điều kiện (*) có m = 5 hoặc m = 1
Câu 23:
Ta có y' = 3x2 - 6mx + 3(m2 - 1).
Hàm số có hai cực trị => y' = 0 có hai nghiệm phân biệt <=> Δ' > 0 <=> (3m)2 - 3.3(m2 - 1) > 0 <=> 9 > 0 đúng với mọi m. Ta có điểm cực đại là B(m - 1; -2m + 2) và cực tiểu là C(m + 1; -2m - 2)

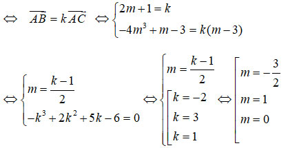
Câu 24:
y’ = 3x2-6mx = 3x (x - 2m)
Hàm số có hai điểm cực trị => y’=0 có hai nghiệm phân biệt <=> m ≠ 0 (*)
Tọa độ hai điểm cực trị là B(0;m) và C(2m;-4m3 + m)
AB→ = (1;m – 3); AC→ =(2m+1; -4m3 + m-3)
A, B, C thẳng hàng

Đối chiếu với điều kiện (*) có m ∈ {-3/2; 1}
Câu 25:
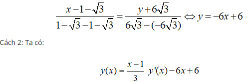
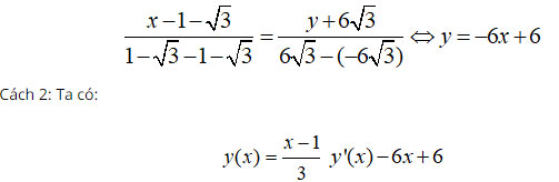
Cách 1: Ta có y’=3x2-6x-6 ; y”=6x - 6

Do đó đồ thị hàm số có điểm cực trị là A(1 + √3; -6√3) và B(1 - √3; 6√3) .
Phương trình đường thẳng đi qua hai điểm cực trị là:

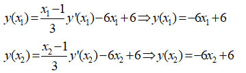
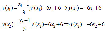
Gọi x1, x2 là nghiệm của phương trình y’(x)= 3x2-6x-6=0 . Khi đó ta có A(x1, y(x1)), BA(x2, y(x2)) là hai cực trị của đồ thị hàm số C với y'(x1) = y'(x2) = 0 .
Do đó ta có:

Vậy A, B thuộc đường thẳng y= - 6x+6.
Câu 26:
y' = 3x2 - 6x - 9, y'' = 6x - 6

Do đồ thị hàm số có hai điểm cực trị là A(-1;0) và B(3;-23).
Phương trình đường thẳng đi qua hai điểm cực trị là:
\(\frac{x+1}{3-\left(-1\right)}==\frac{y-9}{-23-9}\) ⇒ y = - 8x + 1
Câu 27:
Ta có y' = 3x2 - 6x + 3m. Hàm số có hai điểm cực trị <=> y’= 0 có hai nghiệm phân biệt
<=> Δ' = 32 -3.3m > 0 <=> m < 1 (*)
Chia y cho y’ ta được:
\(y\ =\ \frac{x\ -\ 1}{3}y'\ +\ \left(2m\ -\ 2\right)x+1\)
Giả sử x1, x2 là hai nghiệm phân biệt của y’ = 0
Phương trình đường thẳng đi qua hai điểm cực trị có dạng (d): y= (2m-2)x+1
(d) có vectơ pháp tuyến là n1→ = (2m - 2; -1)
(Δ): 3x + y - 8 = 0 có vectơ pháp tuyến là n2→(3; 1)
Vì góc giữa đường thẳng (d) và (Δ) là 45o nên

Đối chiếu điều kiện (*) có m = 3/4
Câu 28:
y' = 3x2 + 6x + m2 . Hàm số có hai điểm cực trị => y’=0 có hai nghiệm phân biệt <=> Δ' = 32 - 3.m2 > 0 <=> -√3 < m < √3
Chia y cho y’ ta được:

Thử lại khi m=0 ta có: y = x3 + 3x2; y' = 3x2 + 6x; y'' = 6x + 6
y' = 0 ⇔ X = 0; x = -2 ⇒ y = 0; y = 4'
y''(0) = 6 > 0; y''(-2) = -6 < 0
Tọa độ hai điểm cực trị của đồ thị hàm số là O(0;0), A(-2;4)
Trung điểm của OA là I(-1;2).
Ta thấy I(-1,2) không thuộc đường thẳng (Δ). Vậy không tồn tại m.
Câu 29
y' = 4x3 - 4mx = 4x(x2 - m)
Hàm số có ba điểm cực trị => y’=0 có ba nghiệm phân biệt <=> m > 0.
Khi đó đồ thị hàm số có ba điểm cực trị là:
A(0; m4 + 2m), B(-√m; m4 - m2 + 2m), C(√m; m4 - m2 + 2m)
ΔABC đều khi AB=AC
m4 = 3m ⇔ m = 0; m =
\(\sqrt[3]{3}\)
Trên đây VnDoc.com vừa giới thiệu tới các bạn Cực trị của hàm số: Trắc nghiệm cực trị hàm số, mong rằng qua bài viết này các bạn có thể học tập tốt hơn môn Toán lớp 12. Mời các bạn cùng tham khảo thêm các môn Ngữ văn 12, tiếng Anh 12, đề thi học kì 1 lớp 12, đề thi học kì 2 lớp 12...
Mời bạn đọc cùng tham gia nhóm Tài liệu học tập lớp 12 để có thêm tài liệu học tập nhé
Mời bạn đọc cùng tham khảo thêm một số tài liệu về cực trị hàm số:
- Cực trị của hàm số: Lý thuyết và bài tập cực trị hàm số
- 172 câu trắc nghiệm cực trị hàm số
- 747 câu hỏi trắc nghiệm cực trị hàm số