Bảng công thức Tích phân - Đạo hàm - Mũ - Logarit
Công thức tích phân, đạo hàm, mũ, logarit đầy đủ
Tổng hợp bảng các công thức tích phân, công thức đạo hàm, công thức nguyên hàm, mũ, logarit đầy đủ dưới đây sẽ giúp các bạn học sinh ôn thi THPT Quốc Gia, học môn Toán tốt hơn. Để chuẩn bị kiến thức ôn tập thật tốt cho các kỳ thi tốt nghiệp, đại học, cao đẳng hoặc các kỳ thi giữa học kỳ, cuối kỳ, các bạn phải luôn ghi nhớ các công thức tính đạo hàm - nguyên hàm - tích phân - mũ logarit. Tài liệu sau đây là bảng tổng hợp các kiến thức co bản về công thức tính đạo hàm, công thức nguyên hàm, công thức hàm số mũ và công thức tính logarit từ sách giáo khoa để các bạn nắm được chi tiết và cụ thể hơn. Mời các bạn cùng tham khảo.
Đề cương ôn thi THPT Quốc gia năm 2016 môn Toán
Đề thi thử THPT Quốc gia năm 2017 bài thi Khoa học tự nhiên - Đề số 1
Bài tập trắc nghiệm khảo sát hàm số (Có đáp án)
Bộ đề thi thử THPT Quốc gia năm 2016 môn Toán - Số 1
Tuyển tập 400 đề thi thử THPT Quốc gia môn Toán năm 2016 (Phần 3)
BẢNG CÔNG THỨC ĐẠO HÀM - NGUYÊN HÀM
I. Các công thức tính đạo hàm


Bổ sung
![]()
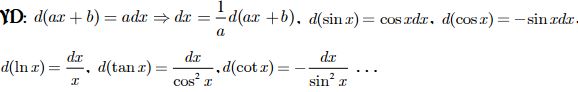
III. Vi phân: dy = y' . dx

BẢNG CÔNG THỨC MŨ - LOGARIT
Bảng công thức lượng giác dùng cho lớp 10 - 11 - 12
1. Công thức hàm số mũ và logarit

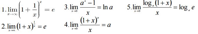
2. Một số giới hạn thường gặp
