Giải SBT Toán 12: Đề toán tổng hợp - Chương 3. Phương pháp tọa độ trong không gian
Hình học 12 - Giải SBT Toán 12: Đề toán tổng hợp chương 3
Để giúp các bạn học sinh học tập môn Toán được tốt hơn, VnDoc mời các bạn học sinh tham khảo tài liệu Giải SBT Toán 12: Đề toán tổng hợp - Chương 3. Phương pháp tọa độ trong không gian, hy vọng qua bộ tài liệu các bạn học sinh sẽ có kết quả cao hơn trong học tập
Giải SBT Toán 12 bài 1: Hệ tọa độ trong không gian
Giải SBT Toán 12 bài 2: Phương trình mặt phẳng
Giải SBT Toán 12 bài 3: Phương trình đường thẳng
Giải SBT Toán 12 ôn tập chương 3: Phương pháp tọa độ trong không gian
Phương pháp tọa độ trong không gian
Bài 3.63 trang 133 sách bài tập (SBT) – Hình học 12
Trong không gian Oxyz, cho ba điểm A(1; 0; 0), B(1; 1; 1), C(13;13;13)
a) Viết phương trình tổng quát của mặt phẳng (α) đi qua O và vuông góc với OC.
b) Viết phương trình mặt phẳng (β) chứa AB và vuông góc với (α).
Hướng dẫn làm bài:
a) Mặt phẳng (α) có vecto pháp tuyến là OC→=(13;13;13) hay n→=3OC→=(1;1;1)
Phương trình mặt phẳng (α) là x + y + z = 0.
b) Gọi (β) là mặt phẳng chứa AB và vuông góc với mặt phẳng (α). Hai vecto có giá song song hoặc nằm trên là: AB→=(0;1;1) và nα→=(1;1;1)
Suy ra (β) có vecto pháp tuyến nβ→=(0;1;−1)
Phương trình mặt phẳng (β) là y – z = 0
Bài 3.64 trang 133 sách bài tập (SBT) – Hình học 12
Trong không gian Oxyz, cho hai mặt phẳng (β): x + 3ky – z + 2 = 0 và (γ): kx – y + z + 1 = 0
Tìm k để giao tuyến của (β) và (γ) vuông góc với mặt phẳng
(α):x–y–2z+5=0
Hướng dẫn làm bài:
Ta có nβ→=(1;3k;−1) và nγ→=(k;−1;1). Gọi dk=β∩γ
Đường thẳng dk vuông góc với giá của nβ→ và nγ→ nên có vecto chỉ phương là: a→=−nβ→∧−nγ→=(3k−1;−k−1;−1−3k2)
Ta có: dk⊥(α)⇔3k−1/1=−k−1/−1=−1−3k2/−2⇔k=1
Bài 3.65 trang 133 sách bài tập (SBT) – Hình học 12
Trong không gian Oxyz, cho hình hộp chữ nhật ABCD.A’B’C’D’ có A(0; 0; 0), B(a; 0; 0), D(0; a; 0), A’(0; 0; b) với a > 0 và b> 0. Gọi M là trung điểm cạnh CC’.
Xác định tỉ số abab để hai mặt phẳng (A’BD) và (MBD) vuông góc với nhau.
Hướng dẫn làm bài:
Mặt phẳng (A’BD) có vecto pháp tuyến n1→=BD→∧BA′→=(ab;ab;a2)
Mặt phẳng (BDM) có vecto pháp tuyến n2→=BD→∧BM→=(ab/2;ab/2;−a2)
Ta có (BDM)⊥(A′BD)⇔n1→.n2→=0
⇔a2b2/2+a2b2/2−a4=0
⇔a=b⇔a/b=1
Bài 3.66 trang 134 sách bài tập (SBT) – Hình học 12
Cho hình chóp S.ABCD có đáy là hình thoi ABCD, AC cắt BD tại gốc tọa độ O. Biết A(2; 0; 0), B(0; 1; 0),S(0;0;2√2. Gọi M là trung điểm cạnh SC.
a) Viết phương trình mặt phẳng chứa SA và song song với BM.
b) Tính khoảng cách giữa hai đường thẳng SA và BM.
Hướng dẫn làm bài
a) Ta có C(-2; 0; 0) và M(−1;0;√2)
Gọi (α) là mặt phẳng chứa SA và song song với BM. Hai vecto có giá song song hoặc nằm trên (α) là SA→=(2;0;−2√2) và BM→=(−1;−1;√2)
Suy ra vecto pháp tuyến của (α) là: n→=(−2√2;0;−2) hay n→′=(√2;0;1)
Mặt phẳng (α) có phương trình: √2(x−2)+z=0 hay √2x+z−2√2=0
b) Ta có d(SA,BM)=d(B;(α))=|−2√2|/√2+1=2√2/√3
Vậy khoảng cách giữa hai đường thẳng SA và BM là 2√6/3
Bài 3.67 trang 134 sách bài tập (SBT) – Hình học 12
Cho mặt phẳng (P): 2x – 3y + 4z – 5 = 0 và mặt cầu (S):
x2 + y2 + z2 + 3x + 4y – 5z + 6 = 0
a) Xác định tọa độ tâm I và bán kính r của mặt cầu (S).
b) Tính khoảng cách từ tâm I đến mặt phẳng (P). Từ đó chứng minh rằng mặt phẳng (P) cắt mặt cầu (S) theo một đường tròn mà ta kí hiệu là (C). Xác định bán kính r’ và tâm H của đường tròn (C) .
Hướng dẫn làm bài:
a) (S) có tâm I(−3/2;−2;5/2) và có bán kính
\(r=\sqrt{\frac{9}{4}+4+\frac{15}{4}-6}=\frac{\sqrt{26}}{2}\)
b) d(I,(P))=|2.(−3/2)−3.(−2)+4.(5/2)−5|/√4+9+16=8/√29<√26/2
Vậy d(I, (P)) < r
Suy ra mặt phẳng (P) cắt mặt cầu (S) theo đường tròn tâm H bán kính r’.
H chính là hình chiếu vuông góc của I xuống mặt phẳng (P). Gọi Δ là đường thẳng qua I và vuông góc với (P). Ta có vecto chỉ phương của Δ là
a→Δ= n(P)→=(2;−3;4)
Phương trình tham số của Δ: x=−3/2+2t;y=−2−3t;z=5/2+4t
Δ cắt (P) tại H(−32+2t;−2−3t;52+4t). Ta có:
H∈(α)⇔2(−3/2+2t)−3(−2−3t)+4(5/2+4t)−5=0
⇔29t+8=0⇔t=−8/29
Suy ra tọa độ H(−3/2−16/29;−2+24/29;5/2−32/29) hay
Ta có r′2=r2−d2(I,(P))=26/4−64/29=249/58. Suy ra r′=√249/58
Bài 3.68 trang 134 sách bài tập (SBT) – Hình học 12
Trong không gian Oxyz, cho bốn điểm A(6; -2; 3), B(0; 1; 6), C(2; 0 ; -1), D(4; 1; 0). Gọi (S) là mặt cầu đi qua bốn điểm A, B, C, D. Hãy viết phương trình mặt phẳng tiếp xúc với mặt cầu (S) tại điểm A.
Hướng dẫn làm bài:
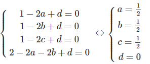
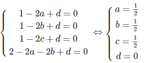
Tâm I(x, y, z) của (S) có tọa độ là nghiệm của hệ phương trình

Vậy mặt cầu (S) có tâm I(2; -1; 3).
Mặt phẳng (α) tiếp xúc với (S) tại A nên (α) có vecto pháp tuyến là IA→=(4;−1;0)
Phương trình mặt phẳng (α) là
4(x–6)–(y+2)=0 hay 4x–y–26=0.
Bài 3.69 trang 134 sách bài tập (SBT) – Hình học 12
Trong không gian Oxyz, cho bốn điểm A(1; 0; 0), B(0; 1; 0), C(0; 0; 1) và D(1; 1; 0).
a) Viết phương trình mặt cầu (S) đi qua bốn điểm A, B, C, D.
b) Xác định tọa độ tâm và bán kính của đường tròn là giao tuyến của mặt cầu (S) với mặt phẳng (ACD).
Hướng dẫn làm bài:
a) Phương trình mặt cầu (S) có dạng x2 + y2 + z2 –2ax – 2by – 2cz + d = 0 (*)
Thay tọa độ các điểm A, B, C, D vào (*) ta có:

Vậy phương trình mặt cầu (S) là: x2 + y2 + z2 – x – y – z = 0
b) Ta có AC→=(−1;0;1) và AD→=(0;1;0)
Suy ra (ACD) có vecto pháp tuyến n→=AC→∧AD→=(−1;0;−1) hay n′→=(1;0;1)
Vậy phương trình của mặt phẳng (ACD) là x – 1 + z = 0 hay x + z – 1 = 0
Mặt cầu (S) có tâm I(1/2;1/2;1/2)
Ta có I∈(ACD), suy ra mặt phẳng (ACD) cắt (S) theo một đường tròn có tâm I(1/2;1/2;1/2) và có bán kính r bằng bán kính mặt cầu (S), vậy:
\(r=\sqrt{a^2+b^2+c^2-d}\ =\sqrt{\frac{1}{4}+\frac{1}{4}+\frac{1}{4}}=\frac{\sqrt{3}}{2}\)
Bài 3.70 trang 134 sách bài tập (SBT) – Hình học 12
Cho hai đường thẳng Δ1: x/2=y+2/3=z/4 và Δ2: {x=1+t;y=2+t;z=1+2t
a) Viết phương trình mặt phẳng ((α) chứa Δ1 và song song với Δ2
b) Cho điểm M(2; 1; 4). Tìm tọa độ điểm H thuộc đường thẳng Δ2 sao cho đoạn thẳng MH có độ dài nhỏ nhất.
Hướng dẫn làm bài:
a) Phương trình tham số của đường thẳng Δ1: {x=2t′;y=−2+3t′;z=4t′
Δ1 đi qua điểm M1(0; -2; 0) và có vecto chỉ phương a1→=(2;3;4)
Δ2 đi qua điểm M2(1; 2; 1) và có vecto chỉ phương a2→=(1;1;2)
Mặt phẳng (α) có vecto pháp tuyến n→=a1→∧a2→=(2;0;−1)
(α) đi qua điểm M1(0; -2; 0) và có vecto pháp tuyến n→, vậy phương trình của (α) là: 2x – z = 0
b) Xét điểm H(1+t;2+t;1+2t)∈Δ2
MH→=(t−1;t+1;2t−3)
Ta có: MH nhỏ nhất ⇔MH⊥Δ2⇔ MH→.a2→=0
⇔t–1+t+1+2(2t–3)=0⇔t=1
Vậy ta được H(2; 3; 3)
Bài 3.71 trang 134 sách bài tập (SBT) – Hình học 12
Trong không gian Oxyz, cho điểm D(-3; 1 ; 2) và mặt phẳng (α) đi qua ba điểm A(1; 0; 11), B(0; 1; 10), C(1; 1; 8).
a) Viết phương trình đường thẳng AC.
b) Viết phương trình tổng quát của mặt phẳng (α).
c) Viết phương trình mặt cầu (S) tâm D, bán kính r = 5. Chứng minh mặt phẳng (α) cắt mặt cầu (S).
Hướng dẫn làm bài:
a) Đường thẳng AC có vecto chỉ phương AC→=(0;1;−3)
Phương trình tham số của đường thẳng AC: {x=1;y=t;z=11−3t
b) Ta có: AB→=(−1;1;−1) và AC→=(0;1;−3)
n→=AB→∧AC→=(−2;−3;−1)
Suy ra (α) có vecto pháp tuyến n→=(−2;−3;−1)
Mặt phẳng (α) có phương trình:
2(x–1)+3(y)+(z–11)=0 hay 2x+3y+z–13=0
c) Phương trình mặt cầu (S) tâm D bán kính 5: (x + 3)2 + (y – 1)2 + (z – 2)2 = 25
Ta có d(D,(α))=|2.(−3)+3.(1)+(2)−13|/√4+9+1=14/√14=√14<5
Do đó d(D,(α))<r. Vậy mặt phẳng (α) cắt mặt cầu (S).
---------------------------------
Trên đây VnDoc.com đã giới thiệu tới bạn đọc tài liệu: Giải SBT Toán 12: Đề toán tổng hợp - Chương 3. Phương pháp tọa độ trong không gian. Để có kết quả cao hơn trong học tập, VnDoc xin giới thiệu tới các bạn học sinh tài liệu Giải bài tập Toán lớp 12, Giải bài tập Hóa học lớp 12, Giải bài tập Vật Lí 12 mà VnDoc tổng hợp và đăng tải.