Giải bài tập Toán 12 chương 4 bài 3: Phép chia số phức
Bài tập Toán 12 Giải tích chương 4 bài 3
Giải bài tập Toán 12 chương 4 bài 3: Phép chia số phức là tài liệu hay dành cho các bạn học sinh lớp 12 tham khảo để rèn luyện cách giải nhanh các bài tập trong SGK trang 138, bộ câu hỏi kèm theo lời giải chi tiết sẽ giúp các bạn học sinh có kết quả cao trong học tập. Mời các bạn học sinh và thầy cô tham khảo.
Giải bài tập Toán 12 chương 4 bài 1: Số phức
Giải bài tập Toán 12 chương 4 bài 2: Cộng, trừ và nhân số phức
Giải bài tập Toán 12 chương 4 bài 4: Phương trình bậc hai với hệ số thực
Giải bài tập Toán 12 chương 4 bài 3: Phép chia số phức
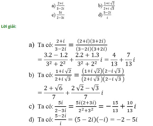
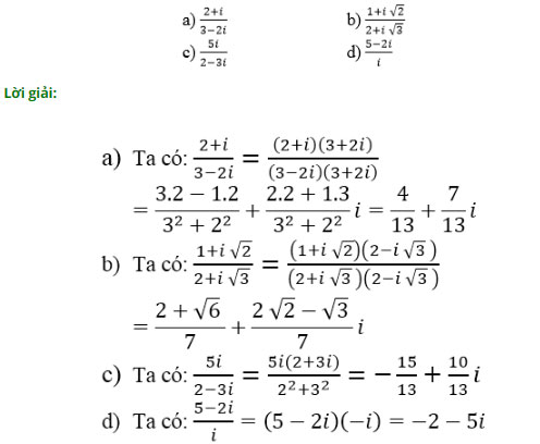
Bài 1 (trang 138 SGK Giải tích 12): Thực hiện các phép chia sau:
Bài 2 (trang 138 SGK Giải tích 12): Tìm nghịch đảo của z là:
a) z = 1 + 2i
b) z = √2 - 3i
c) z = i
d) z = 5 + i√3
Lời giải:

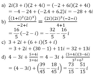
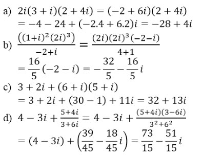
Bài 3 (trang 138 SGK Giải tích 12): Thực hiện các phép tính sau:

Lời giải

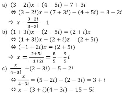
Bài 4 (trang 138 SGK Giải tích 12): Giải các phương trình sau:
a) (3 - 2i)x + (4 + 5i) = 7 + 3i
b) (1 + 3i)x - (2 + 5i) = (2 + i)x
c) [x/(4 - 3i)] + (2 - 3i) = 5 - 2i
Lời giải:

