Giải bài tập Toán 12 chương 3 bài 2: Tích phân
Bài tập Toán 12 Giải tích chương 3 bài 2
VnDoc.com xin giới thiệu tới bạn đọc tài liệu: Giải bài tập Toán 12 chương 3 bài 2: Tích phân, tài liệu sẽ giúp các bạn học sinh rèn luyện cách giải bài tập Toán chương 3 bài 2 Giải tích một cách hiệu quả nhất. Mời các bạn và thầy cô cùng tham khảo.
Giải bài tập Toán 12 chương 3 bài 1: Nguyên hàm
Giải bài tập Toán 12 chương 3 bài 3: Ứng dụng của tích phân trong hình học
Giải bài tập Toán 12 chương 2 bài 6: Bất phương trình mũ và bất phương trình lôgarit
Giải bài tập trang 77 SGK Giải tích lớp 12: Hàm số mũ. Hàm số lôgarit
Giải bài tập trang 84, 85 SGK Giải tích lớp 12: Phương trình mũ và phương trình lôgarit
Giải bài tập Toán 12 chương 3 bài 2: Tích phân
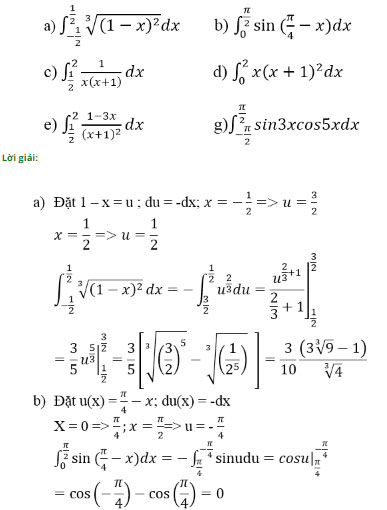
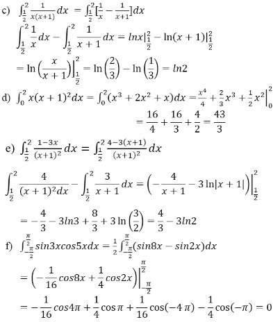
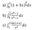
Bài 1 (trang 112 SGK Giải tích 12): Tính các tích phân sau:


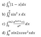
Bài 2 (trang 112 SGK Giải tích 12): Tính các tích phân sau:

Lời giải

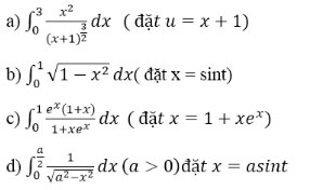
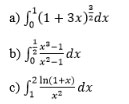
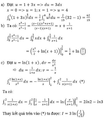
Bài 3 (trang 113 SGK Giải tích 12): Sử dụng phương pháp đổi biến, hãy tính:

Lời giải


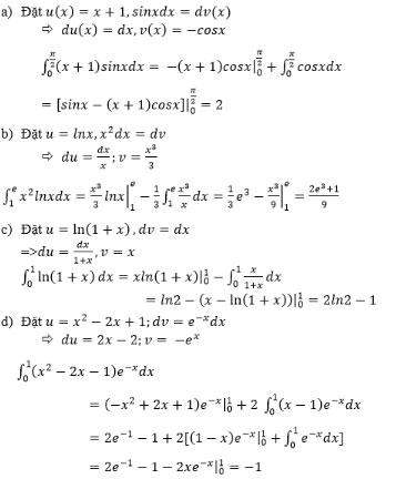
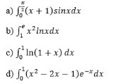
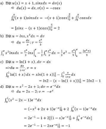
Bài 4 (trang 113 SGK Giải tích 12): Sử dụng phương pháp tích phân từng phần, hãy tính:

Lời giải

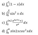
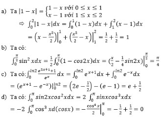
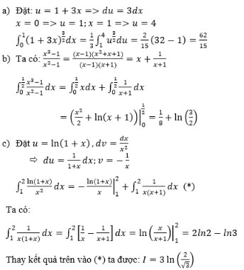
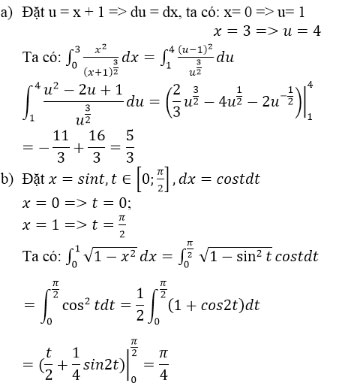
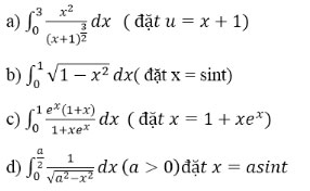
Bài 5 (trang 113 SGK Giải tích 12): Tính các tích phân sau:

Lời giải

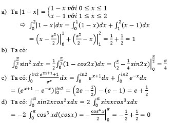
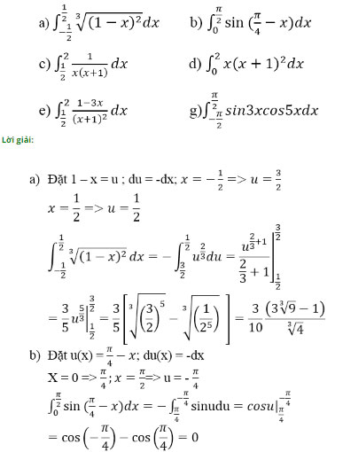
Bài 6 (trang 113 SGK Giải tích 12): Tính

Lời giải
