Giải bài tập Toán 12 ôn tập chương 4: Số phức
Bài tập Toán 12 Giải tích ôn tập chương 4
Để học tốt hơn môn Toán lớp 12, các bạn học sinh cần có cách học tập khoa học, ngoài việc học trên lớp các bạn có thể tự học ở nhà qua bộ tài liệu: Giải bài tập Toán 12 ôn tập chương 4: Số phức, tài liệu có lời giải chi tiết sẽ giúp các bạn học sinh học tập một cách hiệu quả nhất. Mời các bạn học sinh và thầy cô tham khảo.
Giải bài tập Toán 12 chương 4 bài 1: Số phức
Giải bài tập Toán 12 chương 4 bài 2: Cộng, trừ và nhân số phức
Giải bài tập Toán 12 ôn tập chương 4: Số phức
Bài 1 (trang 143 SGK Giải tích 12): Số phức thỏa mãn điều kiện nào thì có điểm biểu diễn ở phần gạch chéo trong các hình a, b, c?

Lời giải
a) Mỗi số phức z = a + bi có điểm biểu diễn trong miền gạch sọc ở hình a phải thỏa mãn điều kiện: phần thực a ≥1 (phần ảo b bất kì).
b) Số phức z = a + bi có điểm biểu diễn trong miền gạch sọc ở hình b phải thỏa mãn điều kiện: phần ảo b ∈[-1;2] (phần thực a bất kì).
c) Điều kiện: mô đun ≤ 2, phần thực a ∈ [-1;1]
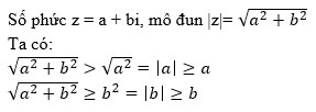
Bài 2 (trang 143 SGK Giải tích 12): Thế nào là phần thực phần ảo, mô đun của một số phức? Viết công thức tính mô đun của số phức theo phần thực phần ảo của nó?
Lời giải:
Mỗi số phức là một biểu thức z = a + bi với a,b ∈ R,i2 = -1
- Số thực a là phần thực của số phức: z = a + bi
- Số thực b là phần ảo của số phức z = a + bi
- Điểm M(a; b) trên mặt phẳng tọa độ biểu diễn số phức z = a + bi

Bài 3 (trang 143 SGK Giải tích 12): Tìm mối liên hệ giữa khái niêm mô đun và khái niệm giá trị tuyệt đối của số thực.
Lời giải:
Mỗi số thực a được gọi là số phức có phần ảo bằng 0
Ta có: a ∈ R => a = a + 0i
Mô đun của số thực a là:
Ιa+0iΙ =
\(\sqrt{a+0^2}=\ \) ΙaΙ
Bài 4 (trang 143 SGK Giải tích 12): Nêu định nghĩa số phức liên hợp với số phức z. Số phức nào bằng số phức liên hợp của nó?
Lời giải:

Bài 5 (trang 143 SGK Giải tích 12): Trên mặt phẳng tọa độ, tìm tập hợp biểu diễn của các số phức z thỏa mãn điều kiện:
a) Phần thực của z bằng 1
b) Phần ảo của z bằng -2
c) Phần thực của z thuộc đoạn [-1; 2], phần ảo của z thuộc đoạn [0; 1]
d) |z|≤2
Lời giải:
a) Tập hợp các điểm thuộc đường thẳng x =1
b) Tập hợp các điểm thuộc đường thẳng y= -2
c) Tập hợp các điểm thuộc hình chữ nhật có các cạnh nằm trên các đường thẳng x= -1, x= 2, y= 0, y= 1 (hình gạch sọc).
d) Tập hợp các điểm thuộc hình tròn tâm O(0,0), bán kính bằng 2.
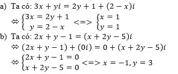
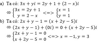
Bài 6 (trang 143 SGK Giải tích 12): Tìm các số thực x, y sao cho:
a) 3x+yi=2y+1+(2-x)i
b) 2x+y-1=(x+2y-5)i
Lời giải:

Bài 7 (trang 143 SGK Giải tích 12): Chứng tỏ rằng với mọi số thực z, ta luôn phần thực và phần ảo của nó không vượt quá mô đun của nó.

Bài 8 (trang 143 SGK Giải tích 12): Thực hiện các phép tính sau:

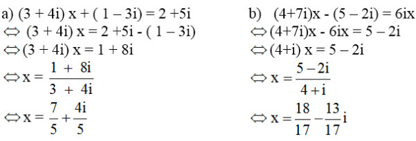
Bài 9 (trang 144 SGK Giải tích 12): Giải các phương trình sau trên tập số phức:
a) (3 + 4i)x + ( 1 – 3i) = 2 + 5i;
b) (4 + 7i)x - (5 – 2i) = 6ix
Lời giải:

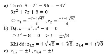
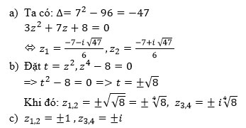
Bài 10 (trang 144 SGK Giải tích 12): Giải các phương trình sau trên tập số phức:
a) 3z2+7z+8=0
b) z4-8=0
c) z4-1=0
Lời giải:

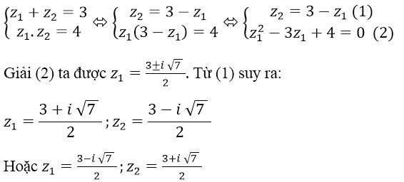
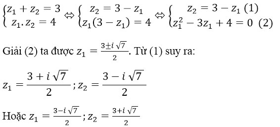
Bài 11 (trang 144 SGK Giải tích 12): Tìm hai số phức, biết tổng của chúng bằng 3 và tích của chúng bằng 4.
Lời giải:
Giả sử hai số phức cần tìm là z1,z2. Theo giả thiết ta có:

Bài 12 (trang 144 SGK Giải tích 12): Cho hai số phức z1, z2, biết rằng z1+z2 và z1.z2 là hai số thực. Chứng tỏ rằng z1, z2 là hai nghiệm của một phương trình bậc hai với hệ số thực.
Lời giải:
Cho các số phức z1, z2 khi đó z1, z2 là các nghiệm của phương trình:
(x-z1 )(x-z2)=0
x2+(z1+z2)x+z1.z2=0 (*)
Theo giả thiết z1+z2 và z1.z2 là hai số thực nên phương trình (*) là phương trình bậc hai với hệ số thực.