Giải bài tập Toán 12 chương 3 bài 1: Hệ tọa độ trong không gian
Giải bài tập Toán 12 Hình học chương 3 bài 1
VnDoc.com xin giới thiệu tới các bạn học sinh lớp 12 tài liệu: Giải bài tập Toán 12 chương 3 bài 1: Hệ tọa độ trong không gian, tài liệu bao gồm các bài tập Hình học 12 chương 3 bài kèm theo lời giải chi tiết sẽ giúp các bạn học sinh có kết quả cao trong học tập. Mời các bạn học sinh và thầy cô tham khảo.
Giải bài tập Toán 12 chương 3 bài 2: Phương trình mặt phẳng
Câu hỏi trắc nghiệm Toán 12 chương 2: Mặt nón, mặt trụ, mặt cầu
Giải bài tập Toán 12 chương 2 bài 1: Khái niệm về mặt tròn xoay
Giải bài tập Toán 12 chương 2 bài 2: Mặt cầu
Giải bài tập Toán 12 ôn tập chương 2: Mặt nón, mặt trụ, mặt cầu
Giải bài tập Toán 12 chương 3 bài 1: Hệ tọa độ trong không gian
Bài 1 (trang 68 SGK Hình học 12): Cho ba vectơ:

Lời giải

Bài 2 (trang 68 SGK Hình học 12): Cho ba điểm A(1; -1; 1), B(0; 1; 2), C(1;0;1). Tìm tọa độ trọng tâm G của tam giác ABC.
Lời giải:

Bài 3 (trang 68 SGK Hình học 12): Cho hình hộp ABCD.A'B'C'D' biết A(1; 0; 1), B(2; 1; 2), D(1; -1; 1), C'(4; 5; -5). Tính tọa độ các đỉnh còn lại của hình hộp.
Lời giải:

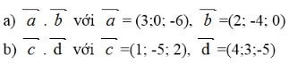
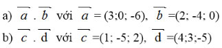
Bài 4 (trang 68 SGK Hình học 12): Tính:

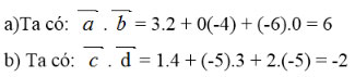
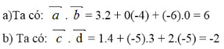
Lời giải

Bài 5 (trang 68 SGK Hình học 12): Tìm tâm và bán kính của các mặt cầu sau đây:
a) x2 + y2 + z2 – 8x – 2y + 1 = 0
b) 3x2 + 3y2 + 3z2– 6x + 8y + 15z – 3 = 0
Lời giải:

Bài 6 (trang 68 SGK Hình học 12): Lập phương trình mặt cầu trong hai trường hợp sau đây:
a) Có đường kính AB với A(4; -3; 7), B(2; 1; 3)
b) Đi qua điểm A(5; -2; 1) và có tâm C(3; -3; 1)
Lời giải:
