Giải bài tập Toán 12 chương 3 bài 1: Nguyên hàm
Bài tập Toán 12 Giải tích chương 3 bài 1
VnDoc.com xin giới thiệu tới bạn đọc tài liệu: Giải bài tập Toán 12 chương 3 bài 1: Nguyên hàm, tài liệu tổng hợp những bài tập trong SGK trang 100, 101 kèm theo lời giải chi tiết sẽ giúp các bạn học sinh học tập tốt hơn môn Toán. Mời các bạn học sinh và thầy cô tham khảo.
Giải bài tập Toán 12 chương 3 bài 2: Tích phân
Giải bài tập Toán 12 chương 2 bài 6: Bất phương trình mũ và bất phương trình lôgarit
Giải bài tập trang 77 SGK Giải tích lớp 12: Hàm số mũ. Hàm số lôgarit
Giải bài tập trang 84, 85 SGK Giải tích lớp 12: Phương trình mũ và phương trình lôgarit
Giải bài tập Toán 12 chương 2: Bài ôn tập chương II - Hàm số lũy thừa. Hàm số mũ và hàm số logarit
Giải bài tập Toán 12 chương 3 bài 1: Nguyên hàm
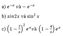
Bài 1 (trang 100 SGK Giải tích 12): Trong các cặp hàm số dưới đây, hàm số nào là nguyên hàm của hàm số còn lại?

Lời giải

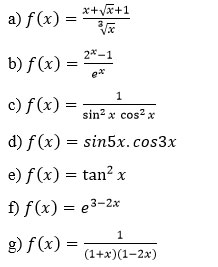
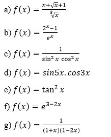
Bài 2 (trang 100 SGK Giải tích 12): Tìm hiểu nguyên hàm của các hàm số sau:

Lời giải

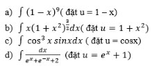
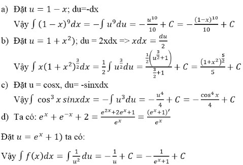
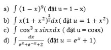
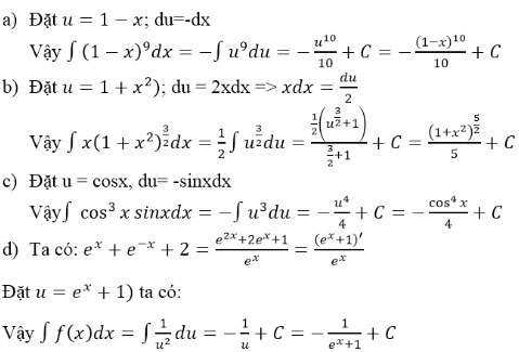
Bài 3 (trang 101 SGK Giải tích 12): 3. Sử dụng phương pháp đổi biến, hãy tính:

Lời giải

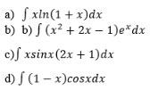
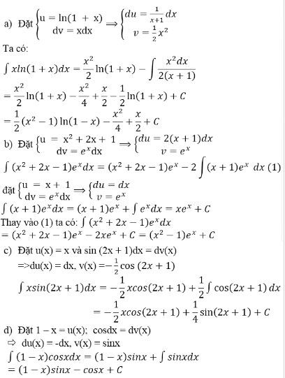
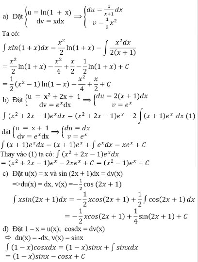
Bài 4 (trang 101 SGK Giải tích 12): Sử dụng phương pháp tính nguyên hàm từng phần, hãy tính:

Lời giải
