Giải SBT Toán 12 ôn tập chương 3: Phương pháp tọa độ trong không gian
Hình học 12 - Phương pháp tọa độ trong không gian
VnDoc xin giới thiệu tới thấy cô và các bạn học sinh cùng tham khảo tài liệu Giải SBT Toán 12 ôn tập chương 3: Phương pháp tọa độ trong không gian, với nội dung được cập nhật chi tiết và chính xác sẽ là nguồn thông tin hữu ích để giúp các bạn học sinh có kết quả cao hơn trong học tập.
Giải SBT Toán 12: Đề kiểm tra - Chương 2. Mặt nón, mặt trụ, mặt cầu
Giải SBT Toán 12 bài 1: Hệ tọa độ trong không gian
Giải SBT Toán 12 ôn tập chương 3
Bài 3.46 trang 131 sách bài tập (SBT) – Hình học 12
Lập phương trình mặt phẳng (P) đi qua điểm M(1; -3; 2) và vuông góc với đường thẳng d: x−3/2=y+1/−1=z/3
Hướng dẫn làm bài:
Chọn nP→=(2;−1;3).
Phương trình của (P) là: 2(x–1)–(y+3)+3(z–2)=0 hay 2x–y+3z–11=0.
Bài 3.47 trang 131 sách bài tập (SBT) – Hình học 12
Lập phương trình mặt phẳng (P) đi qua điểm M(1; -3; 2) và song song với mặt phẳng (Q): x – z = 0.
Hướng dẫn làm bài
Chọn nP→=nQ→=(1;0;−1)
Phương trình của (P) là: (x–1)–(z–2)=0 hay x–z+1=0.
Bài 3.48 trang 131 sách bài tập (SBT) – Hình học 12
Lập phương trình mặt phẳng (P) đi qua ba điểm A(-1; -3; 2), B(-2; 1; 1) và C(0; 1; -1).
Hướng dẫn làm bài:

=(−8;−4;−8)
Suy ra có thể chọn nP→=(2;1;2)
Phương trình của (P) là: 2x+(y–1)+2(z+1)=0 hay 2x+y+2z+1=0.
Bài 3.49 trang 132 sách bài tập (SBT) – Hình học 12
Lập phương trình mặt phẳng (P) chứa hai đường thẳng:

Hướng dẫn làm bài:
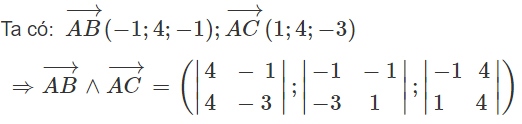
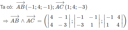
Đường thẳng d đi qua M(-2; 1; 1) có vecto chỉ phương là a→(−1;4;−1)
Đường thẳng d’ đi qua N(-1; -3; 2) có vecto chỉ phương là b→(1;4;−3)
Suy ra: a→∧b→=(−8;−4;−8)≠0→
Ta có: MN→(1;−4;1) nên MN→.(a→∧b→)=0 do đó hai đường thẳng d và d’ cắt nhau.
Khi đó (P) là mặt phẳng đi qua M(-2; 1; 1) và có nP→=(2;1;2)
Phương trình của (P) là: 2(x+2)+(y–1)+2(z–1)=0 hay 2x+y+2z+1=0.
Bài 3.50 trang 132 sách bài tập (SBT) – Hình học 12
Lập phương trình mặt phẳng (P) đi qua điểm I(-1; -1; 1) và chứa đường thẳng d: x+2−1=y−14=z−1−1
Hướng dẫn làm bài:
Đường thẳng d đi qua M(-2; 1; 1) có vecto chỉ phương a→(−1;4;−1)
Ta có: MI→(1;−2;0) , chọn nP→=MI→∧a→=(2;1;2)
Phương trình của (P) là: 2(x+2)+(y–1)+2(z–1)=0 hay 2x+y+2z+1=0
Bài 3.51 trang 132 sách bài tập (SBT) – Hình học 12
Lập phương trình mặt phẳng (P) chứa đường thẳng d: {x=−2−t;y=1+4t;z=1−t và song song với d1: x−1/1=y−1/4=z−1/−3
Đường thẳng d đi qua M(-2; 1;1) có vecto chỉ phương là a→(−1;4;−1)
Đường thẳng d1 đi qua N(1; 1; 1) có vecto chỉ phương là b→(1;4;−3)
Ta có: MN→(3;0;0);a→∧b→=(−8;−4;−8) nên MN→(a→∧b→)≠0, suy ra d và d1 chéo nhau. Do đó (P) là mặt phẳng đi qua M(-2; 1; 1) có vecto pháp tuyến bằng a→∧b→
Phương trình của (P) là: –8(x+2)–4(y–1)–8(z–1)=0 hay 2x+y+2z+1=0
Bài 3.52 trang 132 sách bài tập (SBT) – Hình học 12
Lập phương trình mặt phẳng (P) song song và cách đều hai mặt phẳng
(P1): 2x + y + 2z +1 = 0 và (P2): 2x + y + 2z +5 = 0.
Hướng dẫn làm bài:
Ta có: M(x,y,z)∈(P)⇔d(M,(P1))=d(M,(P2))
⇔|2x+y+2z+1|=|2x+y+2z+5|
⇔2x+y+2z+1=–(2x+y+2z+5)
⇔2x+y+2z+3=0
Từ đó suy ra phương trình của (P) là: 2x+y+2z+3=0.
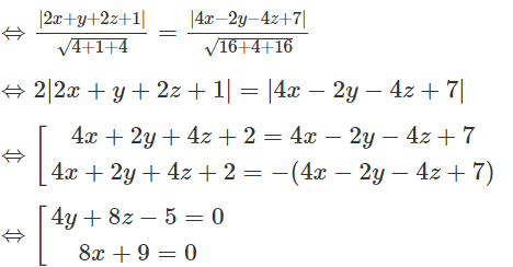
Bài 3.53 trang 132 sách bài tập (SBT) – Hình học 12
Cho hai mặt phẳng:
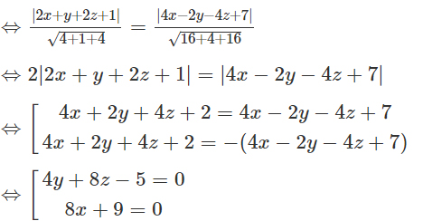
(P1): 2x + y + 2z +1 = 0 và (P2): 4x – 2y – 4z + 7 = 0.
Lập phương trình mặt phẳng sao cho khoảng cách từ mỗi điểm của nó đến (P1) và (P2) là bằng nhau.
Hướng dẫn làm bài:
Ta có: M(x,y,z)∈(P)⇔d(M,(P1))=d(M,(P2))

Từ đó suy ra phương trình mặt phẳng phải tìm là: 4y+8z–5=0 hoặc 8x+9=0
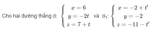
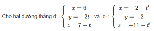
Bài 3.54 trang 132 sách bài tập (SBT) – Hình học 12

Lập phương trình mặt phẳng (P) sao cho khoảng cách từ d và d1 đến (P) là bằng nhau.
Hướng dẫn làm bài:

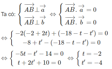
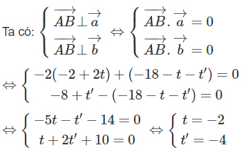
Đường thẳng d đi qua M(6; 0 ;7) có vecto chỉ phương a→(0;−2;1). Đường thẳng d1 đi qua N(-2; -2; -11) có vecto chỉ phương b→(1;0;−1).
Do d và d1 chéo nhau nên (P) là mặt phẳng đi qua trung điểm của đoạn vuông góc chung AB của d, d1 và song song với d và d1.
Để tìm tọa độ của A, B ta làm như sau:
Lấy điểm A(6; - 2t; 7 + t) thuộc d, B(-2 + t’; -2 ; -11 – t’) thuộc d1. Khi đó: AB→=(−8+t′;−2+2t;−18−t−t′)

Suy ra A(6; 4; 5), B(-6; -2; -7)
Trung điểm của AB là I(0; 1; -1)
Ta có: AB→=(−12;−6;−12) . Chọn nP→=(2;1;2)
Phương trình của (P) là: 2x + (y – 1) + 2(z + 1) = 0 hay 2x + y +2z + 1 = 0.
Có thể tìm tọa độ của A, B bằng cách khác:
Ta có: Vecto chỉ phương của đường vuông góc chung của d và d1 là:
![]()
Gọi (Q) là mặt phẳng chứa d và đường vuông góc chung AB.
Khi đó:
nQ→=a→∧(a→∧b→)
![]()
Phương trình của (Q) là : –5(x–6)+2y+4(z–7)=0 hay –5x+2y+4z+2=0
Để tìm d1∩(Q) ta thế phương trình của d1 vào phương trình của (Q). Ta có:
–5(–2+t′)+2(–2)+4(–11–t′)+2=0
⇒t′=4⇒t
⇒d1∩(Q)=B(−6;−2;−7)
Tương tự, gọi (R) là mặt phẳng chứa d1 và đường vuông góc chung AB. Khi đó: nR→=(−1;4;−1)
Phương trình của (R) là –x+4y–z–5=0
Suy ra d∩(R)=A(6;4;5)
Bài 3.55 trang 132 sách bài tập (SBT) – Hình học 12
Lập phương trình mặt phẳng (P) đi qua điểm M(1; -3; 2) và vuông góc với hai mặt phẳng (Q): 2x – y +3z + 1 = 0 và (R): x – 2y – z + 8 = 0
Hướng dẫn làm bài:
Chọn:
nP→=−n→Q∧−nR→
![]()
Phương trình của (P) là:
7(x–1)+5(y+3)–3(z–2)=0
Hay 7x+5y–3z+14=0
---------------------------------
Trên đây VnDoc.com đã giới thiệu tới bạn đọc tài liệu: Giải SBT Toán 12 ôn tập chương 3: Phương pháp tọa độ trong không gian. Để có kết quả cao hơn trong học tập, VnDoc xin giới thiệu tới các bạn học sinh tài liệu Giải bài tập Toán lớp 12, Giải bài tập Hóa học lớp 12, Giải bài tập Vật Lí 12 mà VnDoc tổng hợp và đăng tải.