Tuyển tập 400 đề thi thử THPT Quốc gia môn Toán năm 2016 (Phần 3)
Tuyển tập 400 đề thi thử THPT Quốc gia môn Toán năm 2016
Tuyển tập 400 đề thi thử THPT Quốc gia môn Toán năm 2016 (Phần 3) là bộ đề thi thử đại học môn Toán 2016 hay được VnDoc.com sưu tầm và đăng tải. Đây là tài liệu ôn tập môn Toán hữu ích dành cho các bạn học sinh, giúp các bạn luyện tập và củng cố kiến thức môn Toán, chuẩn bị cho kì thi xét tuyển Đại học, Cao đẳng 2016 sắp tới.
Tuyển tập 400 đề thi thử THPT Quốc gia môn Toán năm 2016 (Phần 1)
Tuyển tập 400 đề thi thử THPT Quốc gia môn Toán năm 2016 (Phần 2)
Tuyển tập Bộ 3 câu phân loại trong các đề thi thử THPT Quốc gia 2015 môn Toán
260 bài toán phương trình và hệ phương trình trong ôn thi đại học
ĐỀ SỐ 201 – SỞ GD & ĐT BÌNH DƯƠNG (ĐỀ SỐ 1)
Câu 1. (1.0 điểm) Khảo sát sự biến thiên và vẽ đồ thị của hàm số
.
Câu 2.(1.0 điểm) Tìm giá trị lớn nhất và giá trị nhỏ nhất của hàm số
trên đoạn [1;e].
Câu 3. (1.0 điểm)
a) Cho số phức z thỏa mãn
. Tính môđun của z.
b) Giải phương trình
.
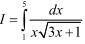
Câu 4. (1.0 điểm) Tính tích phân ![]()
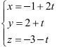
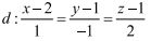
Câu 5. (1.0 điểm) Trong không gian với hệ tọa độ Oxyz, cho đường thẳng
và điểm A(-2;1;0). Viết phương trình mặt phẳng (P) đi qua A và chứa d. Tìm tọa độ điểm M thuộc d sao cho MA = √11.
Câu 6. (1.0 điểm)
a) Giải phương trình sin22x = sin3x + cos2x(cos2x - 1).
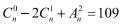
b) Cho n là số tự nhiên thỏa mãn
. Tìm số hạng không chứa x trong khai triển của
(x ≠ 0)
Câu 7. (1.0 điểm) Cho hình lăng trụ ABC.A'B'C' có đáy ABC là tam giác đều cạnh a. Hình chiếu vuông góc của đỉnh A' lên mặt (ABC) là trung điểm của cạnh BC; góc giữa cạnh bên AA' và mặt phẳng (ABC) bằng 600. Tính theo a thể tích khối lăng trụ ABC.A'B'C' và diện tích mặt cầu ngoại tiếp hình chóp A'.ABC.
Câu 8. (1.0 điểm) Trong mặt phẳng với hệ tọa độ Oxy, cho hình vuông ABCD có đỉnh A(2;2). Biết điểm M(6;3) thuộc cạnh BC và điểm N(4;6) thuộc cạnh CD, hãy tìm tọa độ đỉnh C.
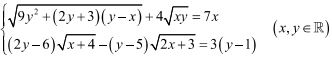
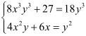
Câu 9. (1.0 điểm) Giải hệ phương trình 
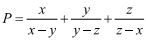
Câu 10. (1.0 điểm) Cho x, y, z là các số thực dương khác nhau đôi một thỏa mãn xy + yz = 2z2 và 2x ≤ z. Tìm giá trị lớn nhất của biểu thức
![]()
ĐỀ SỐ 202 – SỞ GD & ĐT BÌNH DƯƠNG (ĐỀ SỐ 2)
Câu 1 (1,0 điểm) Khảo sát sự biến thiên và vẽ đồ thị hàm số y = x4 - 5x2 + 4.
Câu 2 (1,0 điểm) Cho hàm số
có đồ thị là (H). tìm trên đồ thị (H) những điểm M, biết rằng tiếp tuyến với đồ thị (H) tại điểm M cắt hai tiệm cận tại A và B, IA = IB (I là giao điểm của hai đường tiệm cận).
Câu 3 (1,0 điểm)
a) Cho số phức z thỏa mãn:
. Hãy tìm phần thực, phần ảo của số phức z
b) Giải phương trình: log3(x - 1) + log1/3(2x + 3) = -1.
Câu 4 (1,0 điểm) Tính tích phân
.
Câu 5 (1,0 điểm) Trong không gian với hệ tọa độ Oxyz. Cho điểm A(1;-2;3) và đường thẳng Δ có phương trình:
. Viết phương trình mặt phẳng (α) qua điểm A và vuông góc với đường thẳng Δ. Tìm tọa độ giao điểm của đường thẳng Δ với mặt phẳng (α).
Câu 6 (1,0 điểm)
a) Giải phương trình cos3x + 2sin2x - cosx = 0.
b) Cho n là số nguyên dương thỏa
. Tìm hệ số của số hạng chứa x5 trong khai triển nhị thức (2 + x)n.
Câu 7 (1,0 điểm) Cho hình chóp S.ABCD có đáy ABCD là hình thang vuông tại A và B, hình chiếu vuông góc của S lên mặt đáy trùng với trung điểm H của AD. SC = a√3, AB = BC = a, AD = 2a. Góc tạo bởi đường SC và đáy là 600. Tính thể tích khối chóp S.ABCD.
Câu 8 (1,0 điểm) Trong mặt phẳng với hệ tọa độ Oxy. Cho tam giác ABC có diện tích là 3/2; A(2;-3), B(3;-2). Tìm tọa độ điểm C biết C nằm trên đường thẳng d: 3x - y - 4 = 0.
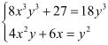
Câu 9 (1,0 điểm) Giải hệ phương trình: 
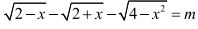
Câu 10 (1,0 điểm) Tìm m để phương trình
có hai nghiệm phân biệt.
Mời các bạn tải file đầy đủ về tham khảo!