Tuyển tập 400 đề thi thử THPT Quốc gia môn Toán năm 2016 (Phần 1)
Tuyển tập 400 đề thi thử THPT Quốc gia môn Toán năm 2016
Tuyển tập 400 đề thi thử THPT Quốc gia môn Toán năm 2016 (Phần 1) là bộ đề thi thử môn Toán có chất lượng, bao gồm 100 đề thi thử quốc gia 2016 tuyển chọn từ các đề thi thử của các trường, các Sở giáo dục trên cả nước được VnDoc.com sưu tầm và đăng tải. Hi vọng bộ tài liệu này giúp các bạn ôn thi THPT Quốc gia, ôn thi đại học có hiệu quả.
Tuyển tập 20 đề thi thử THPT Quốc gia môn Toán năm 2016
Tuyển tập 400 đề thi thử THPT Quốc gia môn Toán năm 2016 (Phần 2)
Tuyển tập 400 đề thi thử THPT Quốc gia môn Toán năm 2016 (Phần 3)
PHẦN 1. ĐỀ THI
ĐỀ SỐ 1 - THPT CHUYÊN VĨNH PHÚC - LẦN 1 - NĂM 2016
Câu 1 (1,0 điểm). Khảo sát sự biến thiên và vẽ đồ thị của hàm số y = x3 - 3x2 + 2.
Câu 2 (1,0 điểm).Tìm cực trị của hàm số: y = x - sin2x + 2.
Câu 3 (1,0 điểm).
a) Cho tanα = 3. Tính giá trị biểu thức ![]()
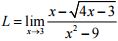
b) Tính giới hạn: ![]()
Câu 4 (1,0 điểm). Giải phương trình: 3sin2x – 4sinxcosx + 5 cos2x = 2
Câu 5 (1,0 điểm)
a) Tìm hệ số của x10 trong khai triển của biểu thức: (3x3 – 2/x2)5
b) Một hộp chứa 20 quả cầu giống nhau gồm 12 quả đỏ và 8 quả xanh. Lấy ngẫu nhiên (đồng thời) 3 quả. Tính xác suất để có ít nhất một quả cầu màu xanh.
Câu 6 (1,0 điểm). Trong mặt phẳng với hệ tọa độ (Oxy), cho hình bình hành ABCD có hai đỉnh A(-2;-1), D(5;0) và có tâm I(2;1). Hãy xác định tọa độ hai đỉnh B, C và góc nhọn hợp bởi hai đường chéo của hình bình hành đã cho.
Câu 7 (1,0 điểm)
Cho hình chóp S.ABCD có đáy ABC là tam giác vuông tại A, mặt bên SAB là tam giác đều và nằm trong mặt phẳng vuông góc với mặt phẳng (ABC), gọi M là điểm thuộc cạnh SC sao cho MC = 2MS. Biết AB = 3, BC = 3√3, tính thể tích của khối chóp S.ABC và khoảng cách giữa hai đường thẳng AC và BM.
Câu 8. (1,0 điểm). Trong mặt phẳng với hệ tọa độ (Oxy), cho tam giác ABC ngoại tiếp đường tròn tâm J(2;1). Biết đường cao xuất phát từ đỉnh A của tam giác ABC có phương trình: 2x + y – 10 = 0 và D(2;-4) là giao điểm thứ hai của AJ với đường tròn ngoại tiếp tam giác ABC. Tìm tọa độ các đỉnh tam giác ABC biết B có hoành độ âm và B thuộc đường thẳng có phương trình x + y + 7 = 0.
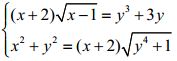
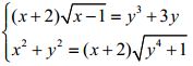
Câu 9 (1,0 điểm). Giải hệ phương trình: ![]()
Câu 10 (1,0 điểm). Cho hai phương trình: x3 + 2x2 + 3x + 4 = 0 và x3 - 8x2 + 23x - 26 = 0. Chứng minh rằng mỗi phương trình trên có đúng một nghiệm, tính tổng hai nghiệm đó.
ĐỀ SỐ 2 - THPT HÀN THUYÊN, BẮC NINH (CLĐN)
Bộ đề thi thử THPT Quốc gia năm 2016 môn Toán - Số 2
Câu 1 (2,0 điểm). Cho hàm số y = f(x) = x3 - 3x2 - 9x - 1, có đồ thị (C).
a) Tìm tọa độ các điểm trên đồ thị (C), có hoành độ x0 thỏa mãn f'(x0) = 0.
b) Viết phương trình tiếp tuyến với đồ thị (C), tại giao điểm của đồ thị (C) và trục Oy.
Câu 2 (1,0 điểm). Giải phương trình √3 cosx + sinx - 2cos2x = 0.
Câu 3 (1,0 điểm).
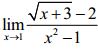
a) Tính giới hạn ![]()
b) Tìm số hạng không chứa x trong khai triển 
Câu 4 (1,0 điểm).
a) Cho cos2α = 1/5. Tính giá trị của biểu thức P = 1 - tan2α.
b) Một chiếc hộp đựng 6 quả cầu trắng, 4 quả cầu đỏ và 2 quả cầu đen. Chọn ngẫu nhiên 4 quả. Tính xác suất để 4 quả được chọn có đủ cả 3 màu.
Câu 5 (1,0 điểm). Trong mặt phẳng tọa độ Oxy, cho A(1; 5) và đường thẳng Δ: x + 2y - 1 = 0. Tìm tọa độ điểm A' đối xứng với điểm A qua đường thẳng Δ và viết phương trình đường tròn đường kính AA'.
Câu 6 (1,0 điểm). Cho hình chóp đều S.ABCD, có đáy ABCD là hình vuông cạnh a. Góc giữa cạnh bên và mặt đáy bằng 600. Tính diện tích tam giác SAC và khoảng cách giữa hai đường thẳng SA và CD.
Câu 7 (1,0 điểm). Trong mặt phẳng tọa độ Oxy, cho hình vuông ABCD. Điểm E(7; 3) là một điểm nằm trên cạnh BC. Đường tròn ngoại tiếp tam giác ABE cắt đường chéo BD tại điểm N (N ≠ B). Đường thẳng AN có phương trình 7x + 11y + 3 = 0. Tìm tọa độ các đỉnh A, B, C, D của hình vuông ABCD, biết A có tung độ dương, C có tọa độ nguyên và nằm trên đường thẳng 2x - y - 23 = 0.
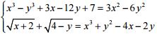
Câu 8 (1,0 điểm). Giải hệ phương trình 
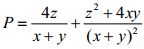
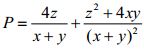
Câu 9 (1,0 điểm). Cho ba số thực x, y, z ∈ [1; 2]. Tìm giá trị lớn nhất của biểu thức:
![]()
Mời các bạn tải file đầy đủ về tham khảo!