Tuyển tập 400 đề thi thử THPT Quốc gia môn Toán năm 2016 (Phần 2)
Tuyển tập 400 đề thi thử THPT Quốc gia môn Toán năm 2016
Tuyển tập 400 đề thi thử THPT Quốc gia môn Toán năm 2016 (Phần 2) là tài liệu tham khảo, học tập môn Toán hữu ích dành cho các bạn ôn thi THPT Quốc gia môn Toán, luyện thi đại học môn Toán. Tài liệu gồm 100 đề thi thử môn Toán 2016, giúp các bạn luyện thi một cách chủ động và linh hoạt nhất.
Tuyển tập 400 đề thi thử THPT Quốc gia môn Toán năm 2016 (Phần 1)
Tuyển tập 400 đề thi thử THPT Quốc gia môn Toán năm 2016 (Phần 3)
Các chuyên đề luyện thi THPT Quốc gia 2016 môn Toán
ĐỀ SỐ 101 - THPT NGUYỄN TRÃI, KON TUM (Lần 1)
Câu 1 (2,0 điểm). Cho hàm số
.
a) Khảo sát sự biến thiên và vẽ đồ thị (C) của hàm số đã cho.
b) Tìm m để đường thẳng d: y = -2x + m cắt đồ thị (C) tại hai điểm phân biệt.
Câu 2 (1,5 điểm).
a) Giải phương trình: 5.9x - 3x+2 - 2 = 0.
b) Giải phương trình: 2log16(5 - x) + log4(3x - 1) = 2.
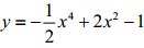
Câu 3 (1,0 điểm). Tìm giá trị lớn nhất và giá trị nhỏ nhất của hàm số
trên đoạn [–2;1].
Câu 4 (1,0 điểm). Cho hình chóp S.ABCD, đáy ABCD là hình chữ nhật có AB = a, BC = a√3. Cạnh bên SA vuông góc với mặt phẳng (ABCD), góc giữa đường thẳng SC và mặt phẳng đáy (ABCD) bằng 600, M là trung điểm của cạnh SD. Tính thể tích khối chóp S.ABCD và khoảng cách từ đỉnh S đến mp(BCM).
Câu 5 (1,5 điểm).
a) Giải phương trình:
.
b) Tủ lạnh của nhà bạn An có 20 quả trứng, trong đó có 7 quả trứng bị hỏng, mẹ bạn An lấy ngẫu nhiên từ đó ra 4 quả để làm món trứng tráng. Tính xác suất để trong 4 quả trứng mẹ bạn An lấy ra có 2 quả bị hỏng.
Câu 6 (1,0 điểm). Trong mặt phẳng chứa hệ trục tọa độ Oxy cho hình vuông ABCD, gọi M, N lần lượt là trung điểm của hai cạnh AB và BC; I là giao điểm của DN và AC. Tìm tọa độ các đỉnh C, D của hình vuông biết M (-1; -1), I(2; -1/3) và điểm C có tung độ âm.
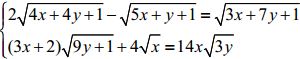
Câu 7 (1,0 điểm). Giải hệ phương trình: 
Câu 8 (1,0 điểm). Cho ba số thực không âm x, y, z thỏa điều kiện 4(xz + y) ≥ y2 + 4. Tìm giá trị nhỏ nhất của biểu thức:
![]()
ĐỀ SỐ 102 - THPT CHUYÊN SƠN LA, SƠN LA (Lần 1)
Câu 1 (2,0 điểm). Cho hàm số: y = -x3 + 3x2 + 3(m2 - 1)x - 3m2 - 1 (1)
a) Khảo sát vẽ đồ thị hàm số khi m = 1.
b) Tìm m để hàm số (1) có hai điểm cực trị x1 và x2 đồng thời |x1 - x2| = 2.
Câu 2 (1,0 điểm). Giải các phương trình, bất phương trình sau:
a) 5x + 1 - 4 = 52x
b) log√5x - log5(x + 2) < log1/53
Câu 3 (1,0 điểm). Tính tích phân: 
Câu 4 (1,0 điểm).
a) Giải phương trình: sin2x + √2cosx = 0.
b) Một lớp học có 28 học sinh trong đó có 15 học sinh nam và 13 học sinh nữ. Chọn ngẫu nhiên 5 học sinh tham gia Hội trại chào mừng ngày thành lập đoàn 26/3. Tính xác suât để trong 5 học sinh được chọn có ít nhất 3 học sinh nam.
Câu 5 (1,0 điểm). Cho hình chóp S.ABCD, đáy ABCD là hình chữ nhật có AB = a, BC = 2a. H là trung điểm cạnh AB, SH vuông góc với mặt phẳng đáy, cạnh bên SA = a5/2. Tính thể tích hình chóp S.ABCD và khoảng cách giữa hai đường thẳng HC và SD.
Câu 6 (1,0 điểm). Trong không gian Oxyz cho đường thẳng (d) và mặt phẳng (P) có phương trình:

Tìm tọa độ điểm A là giao của đường thẳng (d) với (P). Viết phương trình đường thẳng qua A nằm trên mặt phẳng (P) và vuông góc với đường thẳng d.
Câu 7 (1,0 điểm). Trong mặt phẳng tọa độ Oxy cho hình vuông ABCD; các điểm M, N và P lần lượt là trung điểm của AB, BC và CD; CM cắt DN tại điểm I(5;2). Biết P(11/2;11/2) và điểm A có hoành độ âm. Tìm tọa độ điểm A và D.
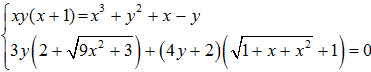
Câu 8 (1,0 điểm). Giải hệ phương trình: 
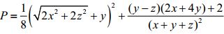
Câu 9 (1,0 điểm). Cho các số dương x, y, z thỏa mãn x > y; (x + z)(y + z) = 1.
Tìm giá trị nhỏ nhất của biểu thức: ![]()
Xem thêm: Đáp án đề thi thử THPT Quốc gia môn Toán năm 2016 trường THPT Chuyên Sơn La (Lần 1)
Mời các bạn tải file đầy đủ về tham khảo!