Phương pháp giải bất phương trình vô tỷ chứa căn (Có lời giải)
Phương pháp giải bất phương trình vô tỷ chứa căn thức
Phương pháp giải bất phương trình vô tỷ chứa căn có lời giải là tài liệu ôn thi đại học môn Toán, luyện thi THPT Quốc gia môn Toán hay, giúp các bạn đạt điểm tối đa khi làm phần bài tập bất phương trình chứa căn trong đề thi đại học. Mời các bạn tham khảo.
Chuyên đề bất phương trình vô tỉ
Chuyên đề: Phương trình và bất phương trình chứa căn thức
Ôn thi Đại học - Một số phương pháp giải phương trình và bất phương trình chứa căn
GIỚI THIỆU
Kể từ năm 2005 đến nay, đề thi đại học môn toán có bài toán về bất phương trình chứa căn:
Bài 1: (Đề thi đại học Khối D năm 2002): Giải bất phương trình:
![]()
Bài 2: (Đề thi đại học Khối B năm 2012): Giải bất phương trình:
![]()
Bài 3: (Đề thi đại học Khối A năm 2005): Giải bất phương trình:
![]()
Bài 4: (Đề thi đại học Khối A năm 2010): Giải bất phương trình:

ĐỊNH HƯỚNG
Nhận thấy:
- Bài 1 thuộc Dạng bất phương trình chứa 1 căn bậc hai.
- Bài 2 thuộc Dạng bất phương trình chứa 2 căn bậc hai.
- Bài 3 thuộc Dạng bất phương trình chứa 2 căn có bậc khác nhau.
- Bài 4, bài 5 thuộc Dạng bất phương trình chứa nhiều căn.
Từ đó, để cung cấp cho các em học sinh một giáo trình gọn nhẹ với đầy đủ kiến thức, bài giảng này sẽ được chia thành 4 phần (4 dạng bất phương trình).
- Ví dụ đầu tiên ở mỗi phần rất quan trọng, bởi nó sẽ cung cấp các phương pháp để giải.
- Hoạt động sau mỗi ví dụ chính là bài tập.
1. BẤT PHƯƠNG TRÌNH CHỨA MỘT CĂN BẬC HAI
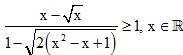
Ví dụ 1: (Đề thi đại học Khối D năm 2002): Giải bất phương trình:
![]()
ĐÁNH GIÁ VÀ ĐỊNH HƯỚNG THỰC HIỆN: Đây là một dạng bất phương trình đơn giản dạng AB ≥ 0 nhưng rất nhiều học sinh không tìm ra được đầy đủ các nghiệm của nó. Chúng ta cần sử dụng phép biến đổi tương đương sau:
f(x).√gx) ≥ 0, với f(x) và g(x) có nghĩa
.
Giải
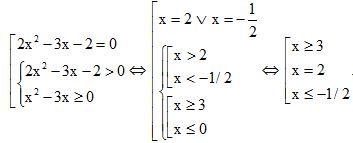
Bất phương trình tương đương với:

Vậy, tập nghiệm của bất phương trình là ![]()
Mời các bạn tải file đầy đủ về tham khảo!