Đề thi khảo sát chất lượng đầu năm môn Toán lớp 12 trường THPT Phan Văn Trị, Cần Thơ năm học 2016 - 2017
Đề thi khảo sát chất lượng đầu năm môn Toán lớp 12
Đề thi khảo sát chất lượng đầu năm môn Toán lớp 12 trường THPT Phan Văn Trị, Cần Thơ năm học 2016 - 2017 có đáp án đi kèm là tài liệu học tập hữu ích dành cho các bạn học sinh lớp 12 luyện đề, củng cố kiến thức Toán, có định hướng ôn thi đầu năm, ôn tập học kì I hiệu quả nhất. Mời các bạn cùng tham khảo.
|
SỞ GIÁO DỤC VÀ ĐÀO TẠO TP CẦN THƠ TRƯỜNG THPT PHAN VĂN TRỊ |
KIỂM TRA CHẤT LƯỢNG ĐẦU NĂM NĂM HỌC 2016 - 2017 MÔN: TOÁN (Thời gian 90 phút, không kể thời gian phát đề) |
ĐỀ 1
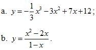
Câu 1. (2 điểm). Tìm các khoảng đơn điệu của các hàm số sau:

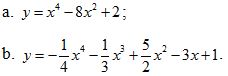
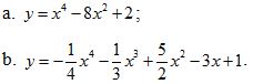
Câu 2. (2 điểm). Tìm các điểm cực trị của các hàm số sau:

Câu 3. (2 điểm)
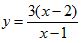
Cho đường cong (C) có phương trình:
. Viết phương trình tiếp tuyến với đường cong (C) tại điểm A thuộc (C) có tung độ bằng 4.
Câu 4. (1 điểm)
Hãy phân chia khối tứ diện ABCD thành bốn khối tứ diện bởi hai mặt phẳng.
Câu 5. (2 điểm)
Cho hình chóp tứ giác đều S.ABCD có cạnh đáy bằng 2a; góc giữa cạnh bên và mặt phẳng đáy bằng 300
a. Chứng minh rằng mp(SBD) vuông góc mp(SAC).
b. Tính khoảng cách từ điểm B đến mặt phẳng (SCD).
Câu 6. (1 điểm)
Cho hàm số: y = x3 + 2(m - 1)x2 + (m2 - 4m + 1)x - 2(m2 + 1) (m là tham số)
Tìm m để hàm số đạt cực trị tại hai điểm sao cho ![]()
Đáp án đề thi khảo sát chất lượng đầu năm môn Toán lớp 12
ĐÁP ÁN ĐỀ 1



