Đề thi khảo sát chất lượng đầu năm môn Toán lớp 12 trường THPT Thuận Thành số 1, Bắc Ninh năm học 2016 - 2017
Đề thi khảo sát chất lượng đầu năm môn Toán lớp 12
Đề thi khảo sát chất lượng đầu năm môn Toán lớp 12 trường THPT Thuận Thành số 1, Bắc Ninh năm học 2016 - 2017 là tài liệu tham khảo được Vndoc.com sưu tầm, nhằm giúp bạn ôn tập và củng cố kiến thức môn Toán để chuẩn bị cho kỳ thi học kỳ I sắp tới. Mời các bạn tham khảo.
| SỞ GD & ĐT BẮC NINH TRƯỜNG THPT THUẬN THÀNH SỐ 1 |
ĐỀ KHẢO SÁT CHẤT LƯỢNG NĂM HỌC 2016 - 2017 MÔN: TOÁN - 12 Thời gian làm bài : 180 phút |
Câu 1 (1,0 điểm). Tìm giá trị lớn nhất, giá trị nhỏ nhất của hàm số: y = x3 + 3x2 - 9x + 1 trên đoạn [- 2; 2].
Câu 2 (1,0 điểm). Cho hàm số y = x3 - 3x2 - 3x - 2 có đồ thị (C). Viết phương trình tiếp tuyến của đồ thị (C) tại giao điểm của (C) với trục tung.
Câu 3 (1,0 điểm). Tìm mọi giá trị của m để đường thẳng d : y = - x + m cắt đồ thị
tại hai điểm phân biệt.
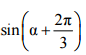
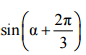
Câu 4 (1,0 điểm). Giải phương trình lượng giác
![]()
Câu 5 (1,0 điểm).
a)Cho
. Tính
.
b) Một hộp chứa 4 quả cầu màu đỏ, 5 quả cầu màu xanh và 7 quả cầu màu vàng. Lấy ngẫu nhiên cùng lúc ra 4 quả cầu từ hộp đó. Tính xác suất sao cho 4 quả cầu được lấy ra có đúng một quả cầu màu đỏ và không quá hai quả cầu màu vàng.
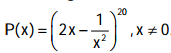
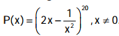
Câu 6 (1,0 điểm). Tìm hệ số của x8 trong khai triển

Câu 7 (1,0 điểm). Cho hình chóp S.ABCD có đáy ABCD là hình chữ nhật với AB = a, AD = 2a,
và SA = a. Tính theo a thể tích của khối chóp S.ABCD và khoảng cách từ D đến mặt phẳng (SBM) với M là trung điểm của CD.
Câu 8 (1,0 điểm). Trong mặt phẳng tọa độ Oxy, cho tam giác ABC nội tiếp đường tròn tâm I. Điểm M(0;-2) là trung điểm cạnh BC, điểm E(-1;-4) là hình chiếu vuông góc của B trên AI, điểm D là hình chiếu của B lên cạnh AC. Xác định tọa độ các đỉnh của tam giác ABC, biết đường thẳng AC có phương trình x+y-4=0.
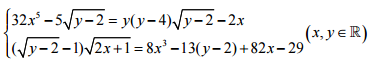
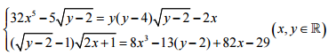
Câu 9 (1,0 điểm). Giải hệ phương trình:

Câu 10 (1,0 điểm). Cho các số thực x, y, z thỏa mãn x > 2, y > 1, z > 0. Tìm giá trị lớn nhất của biểu thức:

------------------------- Hết ------------------------