Đề thi khảo sát chất lượng đầu năm môn Toán lớp 7 trường THCS Nhơn Mỹ, Bình Định
Đề thi khảo sát chất lượng đầu năm môn Toán lớp 7
Đề thi khảo sát chất lượng đầu năm môn Toán lớp 7 trường THCS Nhơn Mỹ, Bình Định năm 2016 - 2017 được VnDoc sưu tầm và giới thiệu tới các bạn. Đề thi bao gồm đề kiểm tra đầu năm môn Toán, có đáp án đi kèm, là tài liệu tham khảo hữu ích dành cho các em học sinh từ lớp 6 lên lớp 7, giúp các em ôn tập và hệ thống lại kiến thức môn Toán hiệu quả.
| Trường THCS Nhơn Mỹ | ĐỀ KSCLĐN – NĂM HỌC: 2016 – 2017 MÔN: TOÁN – Lớp 7. Thời gian: 45 phút (không kể thời gian phát đề) |
Bài 1 (2,0 điểm). Thực hiện phép tính:
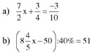
Bài 2 (2,0 điểm). Tìm x biết:
Bài 3 (2,0 điểm). Ba khối lớp 6, 7, 8 có 960 học sinh. Số học sinh khối 7 chiếm 43,75% tổng số.
a) Tính số học sinh khối 7.
b) Tính tỉ số phần trăm của học sinh khối 8 và khối 6. Biết số học sinh khối 6 nhiều hơn khối 8 là 140 học sinh.
Bài 4 (3,0 điểm). Cho ∠AOB = 135o, C là một điểm nằm bên trong ∠AOB sao cho ∠B0C = 90o.
a) Tính ∠AOC
b) Kẻ tia OE là tia phân giác của ∠B0C, OD là tia đối của tia OC. So sánh các góc ∠AOD và ∠EOD?
Bài 5 (1,0 điểm). Tìm các giá trị nguyên của x để giá trị của biểu thức
là một số nguyên.
Đáp án đề thi khảo sát chất lượng đầu năm môn Toán lớp 7



Ngoài Đề thi khảo sát chất lượng đầu năm môn Toán lớp 7 trường THCS Nhơn Mỹ, Bình Định, mời các bạn tham khảo thêm: Giải bài tập Toán lớp 7, Giải Vở BT Toán 7, Đề thi học kì 1 lớp 7, Đề thi giữa kì 1 lớp 7, Đề thi học kì 2 lớp 7...