Đề thi khảo sát chất lượng đầu năm môn Toán lớp 9 huyện Kim Sơn, Ninh Bình năm học 2015 - 2016
Đề thi khảo sát chất lượng đầu năm môn Toán lớp 9
Đề thi khảo sát chất lượng đầu năm môn Toán lớp 9 huyện Kim Sơn, Ninh Bình năm học 2015 - 2016 là đề kiểm tra chất lượng môn Toán, giúp các bạn tự kiểm tra cũng như nâng cao trình độ bản thân, ôn tập và hệ thống chương trình Toán học lớp 8 hiệu quả, chuẩn bị nền tảng vững chắc khi bước vào lớp 9.
Đề thi khảo sát chất lượng đầu năm lớp 9 môn Ngữ văn năm 2015 - 2016 huyện Kim Sơn, Ninh Bình
Đề thi khảo sát chất lượng đầu năm lớp 9 môn Toán năm 2014-2015 trường THCS Lê Hồng Phong, Đắk Lắk
|
PHÒNG GIÁO DỤC VÀ ĐÀO TẠO |
ĐỀ KHẢO SÁT CHẤT LƯỢNG LỚP 9 |
Câu 1 (3,0 điểm): Giải các phương trình sau:
a) 3x + 2 = 2x - 5.
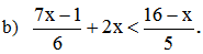
b) (2x + 1)(x - 1) = 0.
![]()
Câu 2 (2,0 điểm): Giải các bất phương trình sau:
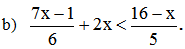
a) 2(3x - 1) < 2x + 4.
![]()
Câu 3 (2,0 điểm):
Một người đi xe đạp từ A đến B với vận tốc 15km/h. Lúc về, người đó chỉ đi với vận tốc là 12km/h, nên thời gian về nhiều hơn thời gian đi là 45 phút. Tính độ dài quãng đường AB.
Câu 4 (3,0 điểm)
Cho tam giác ABC vuông ở A, có AB = 6cm; AC = 8cm. Vẽ đường cao AH và phân giác AD của góc A (D ∈ BC).
a) Tính BC.
b) Chứng minh AB2 = BH.BC.
c) Tính BH, BD.
Đáp án đề thi khảo sát chất lượng đầu năm môn Toán lớp 9

