Đề thi khảo sát chất lượng môn Toán lớp 11 trường THPT Đồng Đậu, Vĩnh Phúc năm 2015 - 2016 (Lần 1)
Đề thi khảo sát chất lượng môn Toán lớp 11
Đề thi khảo sát chất lượng môn Toán lớp 11 trường THPT Đồng Đậu, Vĩnh Phúc năm 2015 - 2016 (Lần 1) là đề kiểm tra nhằm đánh giá chất lượng học sinh trong học kì 1 dành cho quý thầy cô và các bạn cùng tham khảo. Đề thi có đáp án đi kèm, chúc các bạn học tốt.
|
SỞ GD&ĐT VĨNH PHÚC Trường THPT Đồng Đậu |
ĐỀ KSCL LẦN 1 NĂM HỌC 2015-2016 Môn: Toán - Khối 11 (Thời gian làm bài 150 phút, không kể phát đề) |
Câu 1 (1,0 điểm): Tìm tập xác định của các hàm số sau.

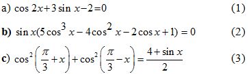
Câu 2 (3,0 điểm): Giải các phương trình sau.

Câu 3 (1,0 điểm): Tìm GTLN & GTNN của hàm số:
y = √3sin2x - 2sin2x + 1
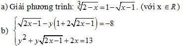
Câu 4 (2,0 điểm): Giải các phưong trình và hệ phương trình sau.

Câu 5 (1,5 điểm). Viết phương trình ảnh của đường tròn lượng giác, qua phép tịnh tiến theo véc tơ
.
Câu 6 (1,5 điểm). Trong mặt phẳng với hệ tọa độ Oxy, cho tam giác ABC, đỉnh A(2; 3), đỉnh B nằm trên trục Ox, đỉnh C nằm trên đường thẳng x - y - 1 = 0, chân đường cao kẻ từ đỉnh C là H(-2; 2). Tìm tọa độ hai đỉnh B, C.
Đáp án đề thi khảo sát chất lượng môn Toán lớp 11


