Đề thi khảo sát giữa kỳ môn Toán lớp 7 trường THCS Trúc Lâm năm 2015 - 2016
Đề thi khảo sát giữa kỳ môn Toán lớp 7
Đề thi khảo sát giữa kỳ 1 môn Toán lớp 7 năm học 2015 - 2016 trường THCS Trúc Lâm có đáp án được VnDoc.com sưu tầm và đăng tải. Hi vọng tài liệu này giúp các bạn học sinh ôn tập lại kiến thức nhằm đạt kết quả tốt trong học tập. Mời các bạn cùng tham khảo.
Đề thi giữa học kì 1 lớp 7 môn Ngữ Văn huyện Bình Giang năm 2014 – 2015
Đề thi giữa học kì 1 môn Toán lớp 7 phòng GD&ĐT Bình Giang năm 2014 - 2015
Bài thi khảo sát chất lượng giữa kì 1
Năm học 2015-2016
Môn toán: Lớp 7
(Thời gian làm bài 90 phút)
I. Phần trắc nghiệm (4.0 điểm).
Câu 1. (1.0 điểm). Điền Đ (nếu đúng), điền S (nếu sai) vào ô vuông:

Câu 2.(1. 0 điểm): Khoanh tròn vào chữ cái đầu dòng của những khẳng định đúng.
A. Một đường thẳng cắt hai đường thẳng song song thì hai góc đồng vị bằng nhau
B. Đường trung trực của đoạn thẳng là đường thẳng vuông góc với đoạn thẳng đó
C. Qua điểm A nằm ngoài đường thẳng a, có ít nhất một đường thẳng song song với a
D.Hai góc bằng nhau thì đối đỉnh.
E. Hai tam giác bằng nhau thì có các cặp góc tương ứng bằng nhau
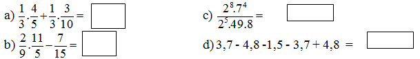
Câu 3.(2.0 điểm). Điền kết quả vào ô vuông.

Câu 4. (1.0 điểm). Xem hình bên rồi điền vào chỗ (...) trong các câu sau

a) ∠EDC và ∠AEB là cặp góc ..........................
b) ∠BED và ∠CDE là cặp góc ..........................
c) ∠CDE và ∠BAT là cặp góc ..........................
d) ∠TAB và ∠DEB là cặp góc ..........................
e) ∠EAB và ∠MEA là cặp góc ..........................
g) Một cặp góc so le trong khác là ...............
h) Một cặp góc đồng vị khác là...................
II. Phần tự luận (6.0 điểm)
Câu 1. (1,5 điểm). Tìm x biết.

c) |x-3,5| = 5,5;
Câu 2. (2, 5 điểm): Số học sinh 3 lớp 7A, 7B, 7C lần lượt tỉ lệ với các số 7, 8, 9 biết rằng số học sinh lớp 7A ít hơn só học sinh lớp 7B là 5 học sinh Tính số học sinh mỗi lớp .
Câu 3.( 2.0 điểm): Cho tam giác ABC có ∠A= 60o,∠B = 80o. Tia phân giác trong của góc A cắt BC ở D. Tính số đo của góc ∠ADC
Đáp án đề thi khảo sát chất lượng giữa kì 1 lớp 7 môn Toán
I. Phần trắc nghiệm (4,0 điểm).
Câu 1. (1.0 điểm). Mỗi ý đúng cho 0,1 đ
1, Đ 3, S 5, Đ 7, S 9, Đ
2, Đ 4, S 6, Đ 8, S 10,S
Câu 2. (1. 0 điểm): Mỗi ý đúng cho 0,2 điểm
Yêu cầu : A, E
Câu 3. (2.0 điểm). Mỗi ý đúng cho 0,25 đ
a) 11/30 b) 1/45 c) 49 d) -1,5
Câu 4. (1,0 điểm).
a) đồng vị
b) trong cùng phía
c) đồng vị
d) ngoài cùng phía
e) So le trong
g) ∠MED và ∠EDC
h) ∠EBC và ∠MED
II. Phần tự luận (6,0 điểm)
Câu 1. (1,5 điểm) Mỗi ý đúng cho 0,5 đ
a) x =11/7 b) x = 9/5 c ) x= 9 hoặc x= -2,5
Câu 2 (2, 5 điểm): yêu cầu Gọi ẩn và đặt điều kiện cho ẩn (0,5 đ)
Tìm mối liên hệ đúng (cho 1 đ)
Giải và tìm kết quả chính xác (1 đ)
Câu 3. (2.0 điểm):
Yêu cầu:
Tính ∠BAD = 35o
Tính ∠ADB = 65o
Ghi chú: vẽ hình sai hoặc không vẽ hình thì không cho điểm