Đề thi Olympic môn Toán lớp 6 trường Xuân Dương năm 2014 - 2015
Đề thi Olympic môn Toán lớp 6
Đề thi Olympic môn Toán lớp 6 trường THCS Xuân Dương năm 2014 -2015 được làm bài trong thời gian 150 phút, gồm 5 câu hỏi, đây là tài liệu ôn tập hữu ích dành cho các bạn học sinh lớp 6, giúp các bạn ôn tập chương trình Toán học nâng cao, từ đó, chuẩn bị bài thi, bài kiểm tra môn Toán hiệu quả.
Đề thi Olympic lớp 7 môn Toán trường Xuân Dương năm 2014 - 2015
| PHÒNG GD & ĐT THANH OAI TRƯỜNG THCS XUÂN DƯƠNG |
ĐỀ THI OLYMPIC LỚP 6 Năm học 2014 - 2015 Môn thi: Toán Thời gian làm bài: 120 phút (Không tính thời gian phát đề) |
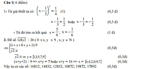
Câu 1 (6 điểm):
1. Tìm x biết: 
2. Tìm các chữ số x và y để số
chia hết cho 36
3. Tìm một số tự nhiên nhỏ nhất biết rằng khi chia số đó cho 3 dư 2, cho 4 dư 3, cho 5 dư 4 và cho 10 dư 9.
Câu 2: (4 điểm)
1. Tìm chữ số tận cùng của các số sau:
a) 571999 b) 931999
2. Chứng minh rằng: ![]()
Câu 3 (2 điểm): Với q, p là số nguyên tố lớn hơn 5 chứng minh rằng: p4 – q4 chia hết cho 240
Câu 4 (6 điểm): Cho góc tù xOy. Bên trong góc xOy, vẽ tia Om sao cho góc xOm bằng 900 và vẽ tia On sao cho góc yOn bằng 900.
Chứng minh góc xOn bằng góc yOm.
Gọi Ot là tia phân giác của góc xOy. Chứng minh Ot cũng là tia phân giác của góc mOn.
Câu 5 (2 điểm): Tìm các số tự nhiên x, y. sao cho (2x + 1)(y – 5) = 12
Đáp án đề thi Olympic môn Toán lớp 6

3. Gọi số tự nhiên cần tìm là a (a > 0, a€ N) (0,5đ)
Theo bài ra ta có:
a chia cho 3 dư 2 a – 2 chia hết cho 3 (0,25đ)
a chia cho 4 dư 3 a – 3 chia hết cho 4 (0,25đ)
a chia cho 5 dư 4 a – 4 chia hết cho 5 (0,25đ)
a chia cho 10 dư 9 a – 9 chia hết cho 10 (0,25đ)
a = BCNN(3, 4, 5, 10) = 60. (0,5đ)
Câu 2 (4 điểm):
1) Tìm chữ số tận cùng của các số sau: (2 điểm)
Để tìm chữ số tận cùng của các số chỉ cần xét chữ số tận cùng của từng số :
a) 571999 ta xét 71999
Ta có: 71999 = (74)499.73 = 2041499. 343 Suy ra chữ số tận cùng bằng 3 (1đ)
Vậy số 571999 có chữ số tận cùng là : 3
b) 931999 ta xét 31999
Ta có: 31999 = (34)499. 33 = 81499.27


a) Lập luận được: xÔm + mÔy = xÔy hay:900 +mÔy = xÔy (1 đ)
yÔn + nÔx = xÔy hay:900 + nÔx = xÔy (1 đ)
xÔn = yÔm (0,5 đ)
b) Lập luận được: xÔt = tÔy (1 đ)
xÔt = xÔn + nÔt (0,5 đ)
tÔy = yÔm + mÔt (0,5 đ)
nÔt = mÔt (0,5 đ)
Ot là tia phân giác của góc mOn (0,5 đ)
Câu 5 (2 điểm)
Ta có 2x+1: y-5 Là ước của 12 (0,25đ)
Mà 12= 1.12=2.6=3.4 (0,25đ)
do 2x+1 lẻ => 2x+1 =1 hoặc 2x+1=3 (0,5đ)
2x+1=1 => x=0; y-5=12 => y=17 (0,5đ)
hoặc 2x+1=3=> x=1; y-5=4=>y=9 (0,25đ)
vậy (x,y) = (0,17); (1,9) (0,25đ)