Đề thi thử THPT Quốc gia môn Toán năm 2015 trường THPT Nguyễn Trãi, Kon Tum
Đề thi thử THPT Quốc gia môn Toán năm 2015
Đề thi thử THPT Quốc gia môn Toán năm 2015 trường THPT Nguyễn Trãi, Kon Tum là tài liệu tham khảo, học tập môn Toán hữu ích dành cho các bạn ôn thi THPT Quốc gia môn Toán, luyện thi đại học môn Toán. Đề thi có kèm đáp án giúp các bạn kiểm tra lại bài làm của mình một cách chủ động và linh hoạt nhất.
Đề thi thử THPT Quốc gia năm 2016 môn Toán trường THPT Chuyên Nguyễn Huệ, Hà Nội (Lần 1)
|
TRƯỜNG THPT NGUYỄN TRÃI TỔ TOÁN - TIN
|
ĐỀ THI THỬ ĐẠI HỌC LẦN 1 NĂM HỌC 2014 – 2015 Môn: TOÁN Thời gian: 180 phút (không kể thời gian giao đề) Ngày kiểm tra: 15/11/2014 |
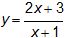
Câu 1 (2,0 điểm) Cho hàm số
, (1)
a. Khảo sát sự biến thiên và vẽ đồ thị (C) của hàm số (1).
b. Tìm tọa độ điểm M thuộc (C) sao cho tiếp tuyến của đồ thị (C) tại điểm M vuông góc với đường thẳng d: y = 4x + 7
Câu 2 (1,0 điểm) Giải phương trình: cos2x(4sinx + 1) = √3sin2x + 1.
Câu 3 (1,0 điểm) Tính tích phân: 
Câu 4 (1,0 điểm)
a. Một hộp đựng 4 viên bi trắng, 5 viên bi đỏ và 6 bi xanh. Lấy ngẫu nhiên từ hộp đó ra 4 viên bi, tính xác suất để 4 viên bi được chọn có đủ ba màu và số bi xanh nhiều nhất.
b. Cho số phức z thỏa mãn điều kiện
. Tính mô đun số phức ![]()
Câu 5: (1,0 điểm) Trong không gian với hệ trục 0xyz, cho hai điểm A(1; -2; 3), B(-1; 0; 1) và mặt phẳng (P): x + y + z + 4 = 0. Tìm tọa độ hình chiếu vuông góc của A trên (P) và viết phương trình mặt cầu (S) có tâm thuộc đường thẳng AB, bán kính bằng 1 và tiếp xúc với mặt phẳng (P).
Câu 6 (1,0 điểm) Cho hình chóp S.ABCD có đáy ABCD là hình vuông tâm O cạnh a. Hình chiếu vuông góc của S lên mặt phẳng (ABCD) là trung điểm của cạnh OC, biết góc giữa SB với mặt đáy bằng 600. Tính theo a thể tích khối chóp S.ABCD và khoảng cách từ D đến mặt phẳng (SBC).
Câu 7 (1,0 điểm) Trong mặt phẳng tọa độ Oxy, cho tam giác ABC có điểm M(-9/2; 3/2) là trung điểm của cạnh AB, điểm H(-2; 4) và điểm I(-1; 1) lần lượt là chân đường cao kẻ từ B và tâm đường tròn ngoại tiếp tam giác ABC. Tìm tọa độ điểm C. (đề thi đại học khối D năm 2013)
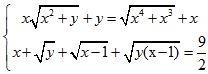
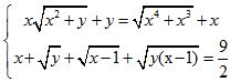
Câu 8 (1,0 điểm) Giải hệ phương trình: 
Câu 9 (1,0 điểm) Cho hai số thực dương a, b thỏa mãn ab ≤ b - 1. Tìm giá trị lớn nhất của biểu thức
![]()
Đáp án đề thi thử THPT Quốc gia môn Toán năm 2015





