Đề thi thử THPT Quốc gia môn Toán năm 2016 tỉnh Bà Rịa Vũng Tàu (Lần 1)
Đề thi thử THPT Quốc gia môn Toán năm 2016
Đề thi thử THPT Quốc gia môn Toán năm 2016 tỉnh Bà Rịa Vũng Tàu (Lần 1) là tài liệu luyện thi đại học môn Toán, thi tốt nghiệp THPT Quốc gia môn Toán mà VnDoc giới thiệu đến các bạn. Hy vọng, đây sẽ là tài liệu ôn tập, hệ thống kiến thức môn Toán hữu ích dành cho các bạn và thầy cô tham khảo.
Đề thi thử THPT Quốc gia môn Toán năm 2016 tỉnh Hà Nam
Tổng hợp đề thi thử THPT Quốc gia năm 2016 môn Toán được tải nhiều nhất
| SỞ GIÁO DỤC VÀ ĐÀO TẠO TỈNH BÀ RỊA VŨNG TÀU |
ĐỀ THI THỬ THPT QUỐC GIA LẦN 1 - NĂM 2016 Môn thi: TOÁN Thời gian làm bài: 180 phút, không kể thời gian phát đề |
Câu 1 (2,0 điểm). Cho hàm số y = x3 + 3x2 + 4.
a) Khảo sát sự biến thiên và vẽ đồ thị (C) của hàm số đã cho.
b) Viết phương trình tiếp tuyến của (C), biết tiếp tuyến đó có hệ số góc bằng 9.
Câu 2 (1,0 điểm). Giải các phương trình sau:
a) sin 2x + 2cos x - sin x - 1 = 0;
b) log32(x - 1) - log3(x - 1)3 + 2 = 0.
Câu 3 (1,0 điểm). Tính tích phân 
Câu 4 (1,0 điểm).
a) Tìm giá trị lớn nhất và giá trị nhỏ nhất của hàm số
.
b) Trong kì thi THPT quốc gia, hai bạn Hạnh và Phúc đều thi môn tự chọn là Vật lý. Đề thi môn Vật lý có 8 mã đề khác nhau, được sắp xếp và phát cho các thí sinh một cách ngẫu nhiên. Tính xác suất để mã đề môn Vật lý của Hạnh nhận được giống với mã đề môn Vật lý của Phúc nhận được.
Câu 5 (1,0 điểm). Cho hình chóp S.ABCD có đáy ABCD là hình vuông cạnh a; tam giác SAB đều và nằm trong mặt phẳng vuông góc với đáy. Gọi H là trung điểm của cạnh AB. Tính theo a thể tích khối chóp S.ABCD và khoảng cách giữa hai đường thẳng DH và SC.
Câu 6 (1,0 điểm). Trong không gian với hệ tọa độOxyz, cho ba điểm A(0;1;2), B(2;-2;1), C(-2;0;1) và mặt phẳng (P): 2x + 2y + z - 3 = 0. Viết phương trình mặt phẳng (ABC) và tìm tọa độ điểm M thuộc mặt phẳng (P) sao cho M cách đều ba điểm A, B, C.
Câu 7 (1,0 điểm). Giải bất phương trình
.
Câu 8 (1,0 điểm). Trong mặt phẳng tọa độ Oxy, cho hình chữ nhật ABCD. Gọi E là điểm đối xứng của D qua A và H là hình chiếu vuông góc của D lên đường thẳng BE. Đường tròn ngoại tiếp tam giác BDE có phương trình (x - 4)2 + (y - 1)2 = 25, đường thẳng AH có phương trình 3x - 4y -17 = 0. Xác định tọa độ các đỉnh của hình chữ nhật đã cho, biết đường thẳng AD đi qua M (7;2) và E có tung độ âm.
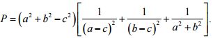
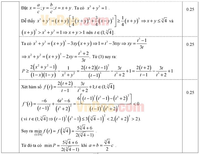
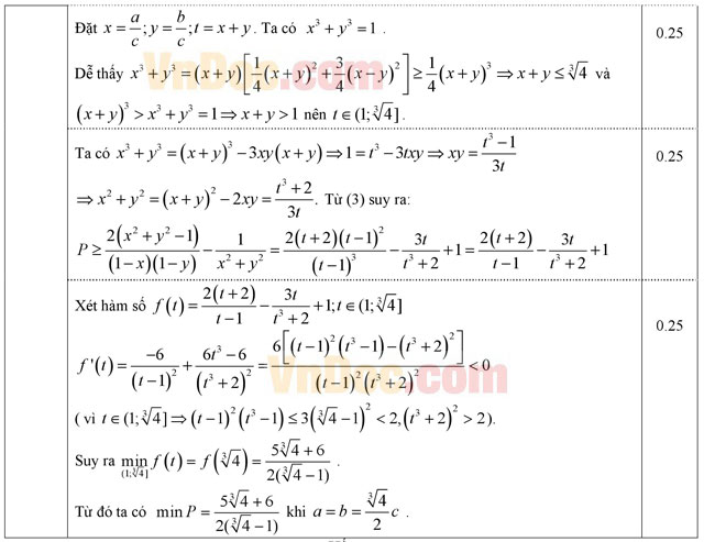
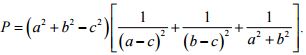
Câu 9 (1,0 điểm). Cho ba số thực dương a, b, c thỏa mãn a3 + b3 = c3. Tìm giá trị nhỏ nhất của biểu thức 
Đáp án đề thi thử THPT Quốc gia môn Toán năm 2016




