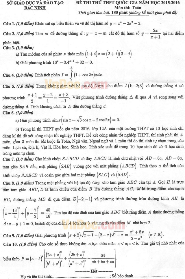
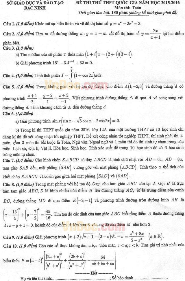
Đề thi thử THPT Quốc gia môn Toán năm 2016 tỉnh Bắc Ninh
Đề thi thử THPT Quốc gia môn Toán năm 2016
Đề thi thử THPT Quốc gia môn Toán năm 2016 tỉnh Bắc Ninh là một trong những đề thi thử môn Toán hay mà VnDoc muốn gửi tới các bạn, giúp các bạn hệ thống củng cố kiến thức môn Toán, rèn luyện kĩ năng làm bài thi THPT Quốc gia, chuẩn bị tốt cho các kì thi quan trọng sắp tới.
Đề thi thử THPT Quốc gia môn Ngữ văn năm 2016 tỉnh Bắc Ninh
Đề thi thử THPT Quốc gia môn Hóa học năm 2016 tỉnh Bắc Ninh
Đề thi thử THPT Quốc gia năm 2016 môn Toán trường THPT Hàn Thuyên, Bắc Ninh (Lần 2)
Đề thi thử THPT Quốc gia môn Toán lần 1 năm 2016 trường THPT Lý Thái Tổ, Bắc Ninh

Đáp án đề thi thử THPT Quốc gia môn Toán năm 2016






