Đề thi thử THPT Quốc gia môn Toán lần 1 năm 2016 trường THPT Lý Thái Tổ, Bắc Ninh
Đề thi thử THPT Quốc gia môn Toán năm 2016
Đề thi thử THPT Quốc gia môn Toán 2016 trường THPT Lý Thái Tổ, Bắc Ninh là tài liệu tham khảo hay dành cho thầy cô và các em học sinh. Đề thi thử đại học môn Toán năm 2016 có đáp án đi kèm, hi vọng sẽ giúp các em ôn tập và củng cố kiến thức hiệu quả, chuẩn bị sẵn sàng cho kỳ thi THPT Quốc gia 2016 sắp tới.
Đề thi thử THPT Quốc gia môn Toán năm 2016 trường THPT Trần Hưng Đạo
Đề thi thử THPT Quốc gia môn Toán lần 1 năm 2016 trường THPT chuyên Bắc Ninh
Đề thi thử THPT Quốc gia năm 2016 môn Toán trường THPT Quảng Xương 4, Thanh Hóa
|
SỞ GD & ĐT BẮC NINH TRƯỜNG THPT LÝ THÁI TỔ |
ĐỀ THI THỬ THPT QUỐC GIA NĂM HỌC 2015 - 2016 Môn: TOÁN; Thời gian: 180 phút, không kể thời gian phát đề. Ngày thi: 7/11/2015 |
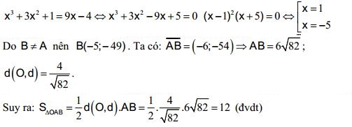
Câu 1 (2.0 điểm) Cho hàm số: y = x3 + 3x2 + 1 có đồ thị là (C).
a. Khảo sát sự biến thiên và vẽ đồ thị của hàm số.
b. Viết phương trình tiếp tuyến của đồ thị (C) tại điểm A(1; 5). Gọi B là giao điểm của tiếp tuyến với đồ thị (C). Tính diện tích tam giác OAB, với O là gốc tọa độ.
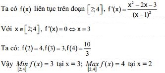
Câu 2 (1.0 điểm) Tìm giá trị lớn nhất và giá trị nhỏ nhất của hàm số trên
đoạn [2; 4].
Câu 3 (1.0 điểm)
a) Giải phương trình lượng giác: cos2x + cos6x = cos4x
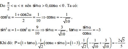
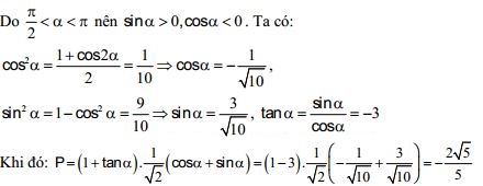
b) Cho cos2α = -4/5 với π/2 < α < π. Tính giá trị của biểu thức: P = (1 + tanα)cos(π/4 - α)
Câu 4 (1.0 điểm)
a) Tìm hệ số của số hạng chứa x2000 trong khai triển của nhị thức: (x + 2/x2)2016.
b) Gọi X là tập hợp các số tự nhiên gồm 6 chữ số đôi một khác nhau được tạo thành từ các chữ số 1, 2, 3, 4, 5, 6, 7, 8, 9. Chọn ngẫu nhiên một số từ tập hợp X. Tính xác suất để số được chọn chỉ chứa 3 chữ số lẻ.
Câu 5 (1.0 điểm). Trong mặt phẳng với hệ tọa độ Oxy, cho hai điểm A(-1; 2), B(3; 4) và đường thẳng d có phương trình: x – 2y – 2 = 0. Tìm điểm M thuộc đường thẳng d sao cho: MA2 + MB2 = 36
Câu 6 (1.0 điểm). Cho hình chóp S.ABCD có dấy ABC là tam giác vuông tại B và AB = 2, AC = 4. Hình chiếu vuông góc của đỉnh S trên mặt phẳng (ABCD) là trung điểm H của đoạn thẳng AC. Cạnh bên SA tạo với mặt đáy một góc 600. Tính thể tích khối chóp S.ABC và khoảng cách giữa hai đường thẳng AB và SC.
Câu 7 (1.0 điểm). Trong mặt phẳng với hệ tọa độ Oxy, cho tam giác ABC vuông tại A nội tiếp đường tròn (T) có phương trình: x2 + y2 -6x - 2y + 5 = 0. Gọi H là hình chiếu của A trên BC. Đường tròn đường kính AH cắt AB, AC lần lượt tại M, N. Tìm tọa độ điểm A và viết phương trình cạnh BC, biết đường thẳng MN có phương trình: 20x - 10y - 9 = 0 và điểm H có hoành độ nhỏ hơn tung độ.
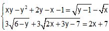
Câu 8 (1.0 điểm). Giải hệ phương trình: 
Câu 9 (1.0 điểm). Cho x, y, z là ba số thực dương thỏa mãn: x + y + z ≥ 3. Tìm giá trị nhỏ nhất của biểu thức:

Đáp án đề thi thử THPT Quốc gia năm 2016 môn Toán
Câu 1 (2.0 điểm)
a. (1.0 điểm) Khảo sát vẽ đồ thị...
- Tập xác định: D = R
- Sự biến thiên:
![]()
- Giới hạn: ![]()
- Bảng biến thiên:

+ H/s đb trên các khoảng (-∞; 22), (0; +∞) và nb trên khoảng (-2; 0)
+ Hàm số đạt cực tại x = -2, yCĐ = 5; đạt cực tiểu tại x = 0, yCT = 1
- Đồ thị:
|
x |
-1 | 1 |
|
y |
3 |
5 |

b. 1.0 điểm
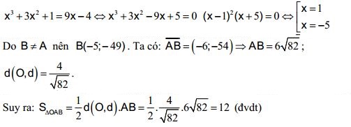
+ Ta có: phương trình tiếp tuyến của đồ thị (C) tại điểm A(1; 5) là:
y = 9(x - 1) + 5 ↔ y = 9x - 4 (d)
+ Tọa độ điểm B là giao của d và (C) có hoành độ là nghiệm pt:

Câu 2 (1.0 điểm)

Câu 3 (1.0 điểm)
a. Giải phương trình ...

b. Tính giá trị biểu thức...

Câu 4 (1.0 điểm)

Câu 5 (1.0 điểm)
