Giao diện mới của VnDoc Pro: Dễ sử dụng hơn - chỉ tập trung vào lớp bạn quan tâm. Vui lòng chọn lớp mà bạn quan tâm: Lưu và trải nghiệm
Đóng
Điểm danh hàng ngày
  • Hôm nay +3
  • Ngày 2 +3
  • Ngày 3 +3
  • Ngày 4 +3
  • Ngày 5 +3
  • Ngày 6 +3
  • Ngày 7 +5
Bạn đã điểm danh Hôm nay và nhận 3 điểm!
Nhắn tin Zalo VNDOC để nhận tư vấn mua gói Thành viên hoặc tải tài liệu Hotline hỗ trợ: 0936 120 169

Đề thi thử THPT Quốc gia môn Toán năm 2016 trường THPT Trần Hưng Đạo

Loại File: Word + PDF
Phân loại: Tài liệu Tính phí

Đề thi thử THPT Quốc gia môn Toán năm 2016

Nhằm chuẩn bị cho kỳ thi THPT Quốc gia năm 2016, nhiều trường đã tổ chức thi thử để kiểm tra chất lượng ôn thi tốt nghiệp, ôn thi đại học của học sinh lớp 12. VnDoc.com giới thiệu tới các bạn Đề thi thử THPT Quốc gia môn Toán năm 2016 trường THPT Trần Hưng Đạo. Mời các bạn tham khảo.

Bộ đề thi thử THPT Quốc gia năm 2016 môn Toán - Số 2

Đề thi thử THPT Quốc gia năm 2016 môn Toán trường THPT Anh Sơn 2, Nghệ An (Lần 1)

Tuyển tập 20 đề thi thử THPT Quốc gia môn Toán năm 2016

TRƯỜNG THPT TRẦN HƯNG ĐẠO

Tổ: TOÁN

(Đề thi gồm 01 trang)

KÌ THI THỬ TRUNG HỌC PHỔ THÔNG QUỐC GIA NĂM 2016

Môn thi: TOÁN

Thời gian làm bài: 150 phút, không kể thời gian phát đề

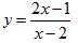
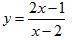
Câu 1 (1,0 điểm). Khảo sát sự biến thiên và vẽ đồ thị hàm số

Câu 2 (1,0 điểm). Cho hàm số y = x3 – 3x – 4 có đồ thị là (C). Viết phương tình tiếp tuyến của (C) tại điểm A là giao điểm của (C) và trục Oy.

Câu 3 (1,0 điểm). Tìm giá trị lớn nhất và giá trị nhỏ nhất của hàm số:

f(x) = x4 – 8x2 + 9 trên đoạn [-1; 3].

Câu 4 (1,0 điểm). Giải phương trình sin2x – cos2x = 2sinx - 1

Câu 5 (1,0 điểm). Một hộp đựng 15 viên bi. Trong đó có 4 viên bi màu đỏ, 5 viên bi màu xanh và 6 viên bi màu vàng. Lấy ngẫu nhiên từ hộp ra 4 viên bi. Tính xác suất để lấy được ít nhất 2 viên bi có cùng màu.

Câu 6 (1,0 điểm). Tính giới hạn

Câu 7 (1,0 điểm). Cho hình chóp S.ABC có đáy ABC là tam giác đều cạnh a. Tam giác SBC cân tại S và nằm trong mặt phẳng vuông góc với mặt phẳng (ABC). Biết SA = a. Tính theo a thể tích khối chóp S.ABC và khoảng cách từ điểm B đến mặt phẳng (SAC).

Câu 8 (1,0 điểm). Trong mặt phẳng với hệ trục tọa độ Oxy, cho hình vuông ABCD có đỉnh C(3; -3) và điểm A thuộc đường thẳng d: x + 2y – 2 = 0. Gọi E là điểm thuộc cạnh BC, F là giao điểm của hai đường thẳng AE và CD, I(87/19; -7/19) là giao điểm của hai đường thẳng DE và BF. Tìm tọa độ các điểm B, D biết điểm M(4/3; 0) thuộc đường thẳng AF.

Câu 9 (1,0 điểm). Giải phương trình trên tập hợp số thực.

Câu 10 (1,0 điểm). Cho hai số thực a, b thuộc (0; 1) và thỏa mãn điều kiện (a3 + b3)(a + b) = ab(1 - a)(1 - b). Tìm giá trị lớn nhất của biểu thức

Chọn file muốn tải về:
Đóng Chỉ thành viên VnDoc PRO/PROPLUS tải được nội dung này!
Đóng
79.000 / tháng
Đặc quyền các gói Thành viên
PRO
Phổ biến nhất
PRO+
Tải tài liệu Cao cấp 1 Lớp
30 lượt tải tài liệu
Xem nội dung bài viết
Trải nghiệm Không quảng cáo
Làm bài trắc nghiệm không giới hạn
Mua cả năm Tiết kiệm tới 48%
Xác thực tài khoản!

Theo Nghị định 147/2024/ND-CP, bạn cần xác thực tài khoản trước khi sử dụng tính năng này. Chúng tôi sẽ gửi mã xác thực qua SMS hoặc Zalo tới số điện thoại mà bạn nhập dưới đây:

Số điện thoại chưa đúng định dạng!
Số điện thoại này đã được xác thực!
Bạn có thể dùng Sđt này đăng nhập tại đây!
Lỗi gửi SMS, liên hệ Admin
Sắp xếp theo
🖼️

Thi THPT Quốc gia môn Toán

Xem thêm
🖼️

Gợi ý cho bạn

Xem thêm