Đề thi thử THPT Quốc gia môn Toán lần 1 năm 2016 trường THPT Chuyên Lào Cai
Đề thi thử THPT Quốc gia môn Toán năm 2016
Đề thi thử THPT Quốc gia môn Toán lần 1 năm 2016 trường THPT Chuyên Lào Cai được VnDoc.com sưu tầm và giới thiệu tới các bạn. Hi vọng tài liệu này giúp các bạn có thể ôn tập, luyện thi đại học môn Toán cũng như chuẩn bị cho kì thi tốt nghiệp tốt nhất. Mời các bạn tải về để tham khảo.
Đề thi thử THPT Quốc gia môn Toán lần 1 năm 2016 trường THPT Chuyên Vĩnh Phúc
Đề thi thử THPT Quốc gia môn Toán lần 2 năm 2016 trường THPT Đào Duy Từ
Đề thi thử THPT Quốc gia năm 2016 môn Toán trường THPT Hồng Quang, Hải Dương
|
THPT CHUYÊN LÀO CAI |
ĐỀ THI THỬ THPT QUỐC GIA LẦN 1 NĂM 2016 MÔN: TOÁN |
Câu 1 (2.0 điềm). Cho hàm số y= x3 – 3x2 + 2
a) Khảo sát sự biến thiên và và vẽ đồ thị (C) của hàm số đã cho.
b) Viết phương trình tiếp tuyến của đồ thị (C) biết tiếp tuyến song song với đường thẳng 24x - y - 5 = 0
Câu 2 (1,0 điếm) Giải phương trình sinx(2sinx + 1) = cox(2cosx + √3)
Cầu 3 (1,0 điếm). Cho số phức z thỏa mãn hệ thức (i + 3)z + (2 + i)/i = (2 - i)z. Tìm môđun của số phức w = z - i
Câu 4 (1.0 điểm). Trong cụm thi xét công nhận tốt nghiệp THPT thí sinh phải thi 4 môn trong đó có 3 môn bắt buộc Toán, Văn, Ngoại ngữ và 1 môn do thí sinh tự chọn trong số các môn: Vật lí, Hóa học, Sinh học, Lịch sử và Địa lý. Một trường THPT có 90 học sinh đăng ki dự thi, trong đó 30 học sinh chọn môn Vật lí vả 20 học sinh chọn môn Hóa học. Chọn ngẫu nhiên 3 học sinh bất kỳ của trường đó. Tính xác suất để trong 3 học sinh đó luôn có cả học sinh chọn môn Vật lí và học sinh chọn môn Hóa học.
Câu 5 (1,0 điểm). Cho hình chóp S.ABCD có đấy ABCD là hình vuông cạnh bằng 2a. Hình chiếu vuông góc của S trên mặt phẳng (ABCD) là trung điểm H của cạnh AB. Góc giữa mặt phẳng (SCD) và mặt phẳng (ABCD) bằng 600. Tính theo a thể tích khối chóp S.ABCD. Tính theo a khoảng cách giữa hai đường thẳng SA và BD.
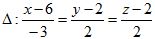
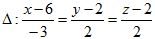
Câu 6. (1,0 điểm). Trong không gian với hệ tọa độ Oxyz cho mặt cầu (S): (x – 1)2 + (y – 2)2 + (z – 3)2 = 9 và đường thẳng
. Viết phương trình mặt phẳng (P) đi qua M(4; 3; 4), song song với đường thẳng ∆ và tiếp xúc với mặt cầu (S).
Câu 7 (1,0 điểm). Trong mặt phẳng tọa độ Oxy cho hình vuông ABCD có đỉnh C thuộc đường thẳng d: x + 2y – 6 = 0, điểm M(1; 1) thuộc cạnh BD. Biết rằng hình chiếu vuông góc của điểm M trê cạnh AB và AD đều nằm trên đường thẳng ∆: x + y – 1 = 0. Tìm tọa độ đỉnh C.
Câu 8 ( 1,0 điểm). Giải bất phương trình:
![]()
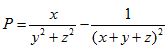
Câu 9 ( 1,0 điểm). Cho x, y, z là các số thực dương thỏa mãn 5(x2 + y2 + z2) = 9(xy + 2yz + xz). Tìm giá trị của biểu thức:
