Đề thi thử THPT Quốc gia năm 2016 môn Toán trường THPT Hồng Quang, Hải Dương (Lần 2)
Đề thi thử THPT Quốc gia năm 2016 môn Toán
Đề thi thử THPT Quốc gia năm 2016 môn Toán trường THPT Hồng Quang, Hải Dương (Lần 2) giúp cho các bạn học sinh có thêm tài liệu ôn thi đại học môn Toán, nhằm thử sức trước kì thi THPT Quốc gia 2016 quan trọng sắp tới. Mời các bạn cùng tham khảo.
Đề thi thử THPT Quốc gia năm 2016 môn Toán trường THPT Hồng Quang, Hải Dương (Lần 1)
Đề thi thử Quốc gia lần 1 năm 2015 môn Toán trường THPT Hồng Quang, Hải Dương
| SỞ GD & ĐT HẢI DƯƠNG TRƯỜNG THPT HỒNG QUANG |
ĐỀ THI THỬ LẦN 2 KÌ THI THPT QUỐC GIA NĂM 2016 MÔN: TOÁN (Thời gian làm bài: 180 phút, không kể thời gian phát đề). |
Câu 1 ( 2,0 điểm)
a) Khảo sát sự biến thiên và vẽ đồ thị (C) của hàm số
.
b) Viết phương trình tiếp tuyến của đồ thị (C), biết tiếp tuyến vuông góc với đường thẳng y = 4x + 5.
Câu 2 (1,0 điểm).
a) Cho số phức z thỏa mãn:
. Tính môđun của số phức z.
b) Giải phương trình: 4x + 2x+2 - 8 = 0.
Câu 3 (1,0 điểm) Tính tích phân
.
Câu 4 (1,0 điểm) Trong không gian với hệ tọa độ Oxyz, cho hai điểm A B (1; -1; 2), (3; 0; 3). Mặt phẳng (P) đi qua điểm M (-3; 1; 2) và vuông góc với đường thẳng AB. Viết phương trình mặt phẳng (P) và tính khoảng cách từ điểm M đến đường thẳng AB.
Câu 5 (1,0 điểm).
a) Cho góc α thỏa mãn π/2 < α < π và tanα = -4/3. Tính giá trị biểu thức P = cos (α + π/4).
b) Trường THPT Đoàn Kết thành lập đội "Thanh niên tình nguyện hè 2016" gồm 4 người được lấy ngẫu nhiên trong số 10 học sinh lớp 12A, 12 học sinh lớp 12B và 5 học sinh lớp 12C. Tính xác suất để lớp nào trong ba lớp đó cũng có học sinh được chọn.
Câu 6 (1,0 điểm). Cho hình chóp S.ABCD có đáy ABCD là hình thoi cạnh a, góc ABC = 600, cạnh bên
. Hình chiếu vuông góc của S trên mặt phẳng (ABCD) là trung điểm cạnh AB. Gọi M là điểm thuộc cạnh CD sao cho MC = 2MD. Tính theo a thể tích của khối chóp S.ABCD và tính côsin của góc giữa hai đường thẳng AM và SB.
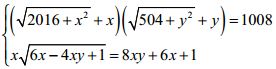
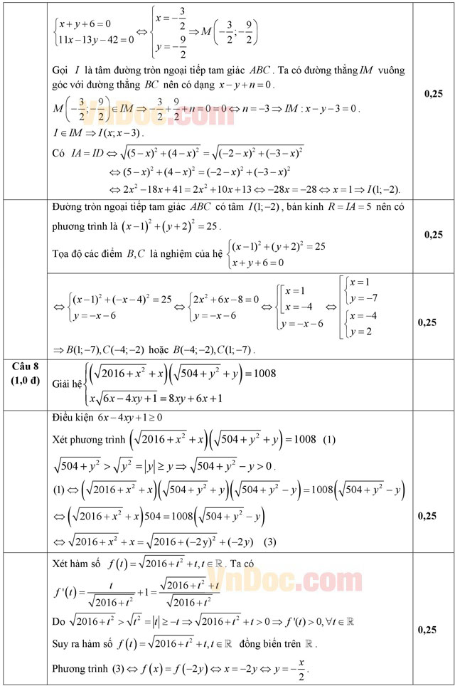
Câu 7 (1,0 điểm). Trong mặt phẳng tọa độ Oxy cho tam giác nhọn ABC . Gọi M là trung điểm cạnh BC và K là hình chiếu vuông góc của A trên BC. Đường thẳng AK cắt đường tròn ngoại tiếp tam giác ABC tại điểm D(-2; -6) khác A. Biết phương trình các đường thẳng BC và AM lần lượt là: x + y + 6 = 0 và 11x - 13y - 43 = 0. Tìm tọa độ các điểm A, B, C.
Câu 8 (1,0 điểm). Giải hệ phương trình 
Câu 9 (1,0 điểm). Cho các số dương x, y, z thỏa mãn x + y + z = 4 và x2 + y2 + z2 = 6. Tìm giá trị nhỏ nhất của biểu thức
.
Đáp án đề thi thử THPT Quốc gia năm 2016 môn Toán






