Đề thi thử THPT Quốc gia năm 2016 môn Toán trường THPT Hồng Quang, Hải Dương (Lần 1)
Đề thi thử THPT Quốc gia 2016 môn Toán
Đề thi thử THPT Quốc gia năm 2016 môn Toán trường THPT Hồng Quang, Hải Dương (Lần 1) gồm 10 câu hỏi có đáp án đi kèm, là tài liệu ôn tập môn Toán kì thi THPT Quốc gia 2016, mời các bạn tham khảo. Hy vọng, các bạn luyện tập và củng cố kiến thức hiệu quả.
Đề thi thử THPT Quốc gia năm 2016 môn Toán trường THPT Hồng Quang, Hải Dương (Lần 2)
Đề thi thử THPT Quốc gia năm 2016 môn Toán trường THPT Hồng Quang, Hải Dương (Lần 3)
Đề thi thử THPT Quốc gia năm 2016 môn Toán trường THPT Hồng Quang, Hải Dương (Lần 4)
|
SỞ GD & ĐT HẢI DƯƠNG TRƯỜNG THPT HỒNG QUANG |
ĐỀ THI THỬ THPT QUỐC GIA NĂM 2016MÔN: TOÁN – LẦN I (Thời gian làm bài: 180 phút, không kể thời gian phát đề) |
Câu 1 (1,0 điểm). Khảo sát sự biến thiên và vẽ đồ thị của hàm số y = -x3 + 3x - 2.
Câu 2 (1,0 điểm). Tìm giá trị lớn nhất và giá trị nhỏ nhất của hàm số ![]()
Câu 3 (1,0 điểm).
a) Giải phương trình: cos2x - 5sinx + 2 = 0
b) Giải bất phương trình: log0,5x + 2log0,25(x - 1) + log26 ≥ 0
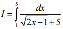
Câu 4 (1,0 điểm). Tính tích phân: 
Câu 5 (1,0 điểm). Trong không gian Oxyz, cho các điểm A(1;-1;2); B(3;1;0) và mặt phẳng (P) có phương trình: x - 2y - 4z + 8 = 0. Tìm tọa độ điểm C nằm trong mặt phẳng (P) sao cho CA = CB và mặt phẳng (ABC) vuông góc với mặt phẳng (P).
Câu 6 (1,0 điểm).
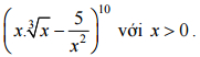
a) Tìm số hạng không chứa x trong khai triển nhị thức 
b) Từ các chữ số 1, 3, 4, 5, 6, 7 lập các số tự nhiên gồm 4 chữ số khác nhau. Chọn ngẫu nhiên một số bất kì trong các số lập được. Tính xác suất để số được chọn là số chẵn.
Câu 7 (1,0 điểm). Cho hình chóp S.ABCD có đáy ABCD là hình vuông cạnh a. Gọi M là trung điểm CD, SH vuông góc với mặt phẳng (ABCD) với H là giao điểm của AC với BM. Góc giữa (SCD) và (ABCD) bằng 60o. Tính thể tích khối chóp S.ABCD và khoảng cách giữa hai đường thẳng AB và SM theo a.
Câu 8 (1,0 điểm). Trong mặt phẳng với hệ toạ độ Oxy, cho tam giác ABC, gọi D là điểm đối xứng với C qua A. Điểm H(2; -5) là hình chiếu vuông góc của điểm B trên AD, điểm K(-1; -1) là hình chiếu vuông góc của điểm D trên AB, đường tròn (T) ngoại tiếp tam giác ABD có phương trình (x - 1)2 + (y + 2)2 = 25. Tìm tọa độ các đỉnh của tam giác ABC, biết điểm A có hoành độ dương.
Câu 9 (1,0 điểm). Giải hệ phương trình sau trên tập số thực

Câu 10 (1,0 điểm). Cho 2 số thực a, b, a, b (0;1) và thỏa mãn: (a3 + b3)(a + b) = ab(1 - a)(1 - b)
Tìm giá trị lớn nhất của biểu thức
![]()
Đáp án đề thi thử THPT Quốc gia 2016 môn Toán
Đề thi thử THPT Quốc gia năm 2016 môn Toán trường THPT Nguyễn Văn Trỗi, Hà Tĩnh
Đề thi thử THPT Quốc gia năm 2016 môn Toán trường THCS & THPT Nguyễn Viết Xuân, Phú Yên (Lần 1)
Đề thi thử THPT Quốc gia năm 2016 môn Toán trường THPT Hồng Lĩnh, Hà Tĩnh
Câu 1:
Khảo sát sự biến thiên và vẽ đồ thị của hàm số y = -x3 + 3x - 2.
- Tập xác định: D = R
- Sự biến thiên:
Chiều biến thiên: y' = -3x2 + 3; y' = 0 ↔ x = -1 hoặc x = 1
y' > 0 với x (-1;1) nên hàm số đồng biến trên khoảng (-1;1);
y' < 0 với x (-∞;-1) ∪ (1;+∞) nên hàm số nghịch biến trên khoảng (-∞;-1) và (1;+∞)
Cực trị: Hàm số cực tiểu tại x = -1; yCT = -4, đạt cực đại tại x = 1, yCĐ = 0

Câu 2:

Câu 3:

(Còn tiếp)