Đề thi thử THPT Quốc gia năm 2016 môn Toán trường THPT Nguyễn Văn Trỗi, Hà Tĩnh
Đề thi thử THPT Quốc gia năm 2016 môn Toán
Đề thi thử THPT Quốc gia năm 2016 môn Toán trường THPT Nguyễn Văn Trỗi, Hà Tĩnh có 9 câu hỏi và đáp án đi kèm, là tài liệu tham khảo hữu ích dành cho các bạn thí sinh luyện thi đại học, ôn thi THPT Quốc gia 2016, mời các bạn tham khảo.
Đề thi thử THPT Quốc gia năm 2016 môn Toán trường THPT Trần Nhân Tông, Quảng Ninh
Đề thi thử THPT Quốc gia môn Toán trường THPT Lý Tự Trọng, Hà Tĩnh năm 2015
Đề thi thử THPT Quốc gia năm 2016 môn Toán trường THPT Yên Thế, Bắc Giang
|
SỞ GIÁO DỤC VÀ ĐÀO TẠO HÀ TĨNH TRƯỜNG THPT NGUYỄN VĂN TRỖI TỔ TOÁN |
ĐỀ THI THỬ LẦN I - KỲ THI THPT QUỐC GIA NĂM HỌC 2015 - 2016 - MÔN TOÁN Thời gian 180 phút |
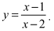
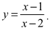
Câu 1: a) (1 điểm) Khảo sát sự biến thiên và vẽ đồ thị (C) của hàm số
![]()
b) (1 điểm) Viết phương trình tiếp tuyến của (C) tại điểm có hoành độ x = 3.
Câu 2. (1 điểm) Tìm giá trị lớn nhất và giá trị nhỏ nhất của hàm số
trên đoạn [0;4]
Câu 3. a) (0,5 điểm) Giải phương trình: sin2x - 2sinx = 0.
b) (0,5 điểm) Giải phương trình: ![]()
Câu 4. a) (0,5 điểm) Trong dịp ra quân chăm sóc di tích Đình Đĩnh Lự (Tân Lộc - Lộc hà - Hà Tĩnh) đội thanh niên tình nguyện của Đoàn trường THPT Nguyễn Văn Trỗi gồm 14 đoàn viên trong đó có 6 đoàn viên nam, 8 đoàn viên nữ trong đó có 2 đoàn viên nam là Ủy viên Ban chấp hành. Cần chọn ngẫu nhiên một nhóm 3 đoàn viên làm nhiệm vụ thắp hương. Tính xác suất sao cho trong 3 đoàn viên được chọn có nam, nữ và Ủy viên ban chấp hành.
b) (0,5 điểm) Tính giá trị biểu thức:
![]()
(Còn tiếp)
Đáp án đề thi thử THPT Quốc gia môn Toán năm 2016
Câu 1.a
TXĐ: D = R\{2}
Sự biến thiên
Giới hạn - tiệm cận:


Câu 1.b
Tại điểm có hoành độ x = 3 ta có tung độ tương ứng là y = 2
Pttt cần viết là y - 2 = -1(x - 3) y = -x + 5
(Còn tiếp)