Đề thi thử THPT Quốc gia năm 2016 môn Toán trường THPT Trần Nhân Tông, Quảng Ninh (Lần 1)
Đề thi thử THPT Quốc gia năm 2016 môn Toán
Đề thi thử THPT Quốc gia năm 2016 môn Toán trường THPT Trần Nhân Tông, Quảng Ninh (Lần 1) có 10 câu hỏi làm trong thời gian 180 phút cùng với đáp án đi kèm. Đây là tài liệu tham khảo hữu ích dành cho các bạn thí sinh, giúp các bạn luyện tập tốt nhất cho kì thi THPT Quốc gia sắp tới. Mời các bạn tham khảo.
Đề thi thử THPT Quốc gia môn Toán trường THPT Lý Tự Trọng, Hà Tĩnh
Đề thi thử THPT Quốc gia môn Toán trường THPT Thống Nhất, Bình Phước
|
SỞ GIÁO DỤC VÀ ĐÀO TẠO QUẢNG NINH TRƯỜNG THPT TRẦN NHÂN TÔNG -------o0o------- ĐỀ THI CHÍNH THỨC |
KỲ THI THỬ THPT QUỐC GIA NĂM 2016 - LẦN IMôn thi: TOÁN Thời gian: 180 phút, không kể thời gian giao đề |
Câu 1 (1 điểm) Khảo sát và vẽ đồ thị hàm số y = x3 - 3x2 + 4.
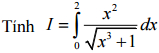
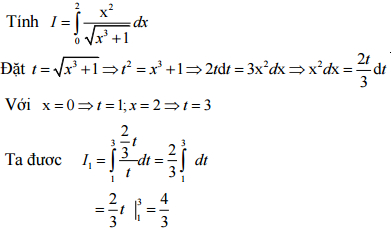
Câu 2 (1 điểm) Tìm giá trị lớn nhất và giá trị nhỏ nhất của hàm số
![]()
Câu 3 (1 điểm) Giải phương trình: log22(x + 1) + log2(4x + 4) - 4 = 0
Câu 4 (1 điểm)

Câu 5 (1 điểm)
Cho hình chóp SABCD có đáy ABCD là hình chữ nhật.Hai mặt phẳng (SAB) và (SAC) cùng vuông góc với mặt phẳng (ABCD). Biết rằng AB = a , BC = a√3. và góc giữa SC với (ABCD) bằng 600. Tính thể tích khối chóp SABCD và khoảng cách giữa hai đường thẳng CE và SB trong đó E là trung điểm của SD.
Câu 6 (1 điểm)
Trong không gian cho tam giác ABC có A(1;-1;3); B(-2;3;3); C(1;7;-3) lập phương trình mặt phẳng (ABC) và tìm chân đường phân giác trong kẻ từ A trên cạnh BC.
Câu 7 (1 điểm)
a, Một đoàn gồm 30 người Việt Nam đi du lịch bị lạc tại Châu Phi, biết rẳng trong đoàn có 12 người biết tiếng Anh, có 8 người biết tiếng Pháp và có 17 người chỉ biết tiếng Việt. Cần chọn ra 4 người đi hỏi đường. Tính xác suất trong 4 người được chọn có 2 người biết cả 2 thứ tiếng Anh và Pháp.
b, Tính giá trị của biểu thức P = (2cos2x - 5)(3 - 2sin2x) biết tanx = 2.
Câu 8 (1 điểm)
Trong mặt phẳng toạ độ (Oxy), cho hình vuông ABCD.Điểm M nằm trên đoạn BC, đường thẳng AM có phương trình x + 3y - 5 = 0, N là điểm trên đoạn CD sao cho góc BMA = AMN. Tìm tọa độ A biết đường thẳng AN qua điểm K(1;-2).
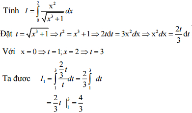
Câu 9 (1 điểm) Giải phương trình:
![]()
Câu 10 (1 điểm) Cho các số dương x, y, z thỏa mãn: x + y + z = 1. Tìm giá trị nhỏ nhất của
![]()
Đáp án đề thi thử THPT Quốc gia năm 2016 môn Toán
Câu 1
Cho hàm số: y = x3 - 3x2 + 4
1. Tập xác định: D = R
2. Sự biến thiên:

Hàm số đồng biến trên (-∞;0) và (2;+∞), nghịch biến trên (0;2)
Hàm số đạt cực đại tại x = 0, yCĐ = 4, đạt cực tiểu tại x = 2, yCT = 0
3. Đồ thị: Đồ thị giao với trục tung tại (0;4), giao với trục hoành tại (-1;0), (2;0). Nhận điểm uốn I (1;2) làm tâm đối xứng

Câu 2

Câu 3

Câu 4:

(Còn tiếp)