Đề thi thử THPT Quốc gia môn Toán trường THPT Thống Nhất, Bình Phước năm 2015 (Lần 2)
Đề thi thử THPT Quốc gia môn Toán
Đề thi thử THPT Quốc gia môn Toán trường THPT Thống Nhất, Bình Phước năm 2015 (Lần 2) gồm 10 câu hỏi có đáp án đi kèm, là tài liệu ôn tập môn Toán hữu ích dành cho các bạn thí sinh chuẩn bị bước vào kì thi THPT Quốc gia, luyện thi Đại học hiệu quả. Mời các bạn tham khảo.
Bộ 10 đề thi thử THPT Quốc gia môn Toán năm 2016
Tuyển tập Bộ 3 câu phân loại trong các đề thi thử THPT Quốc gia 2015 môn Toán
260 bài toán phương trình và hệ phương trình trong ôn thi đại học
|
TRƯỜNG THPT THỐNG NHẤT TỔ: TOÁN – TIN |
ĐỀ THI THỬ THPT QUỐC GIA NĂM 2015 (Lần 2) Thời gian: 180 phút (không kể thời gian giao đề) |
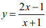
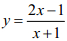
Câu 1. (2,0 điểm) Cho hàm số:
![]()
a) Khảo sát sự biến thiên và vẽ đồ thị của hàm số đã cho.
b) Viết phương trình tiếp tuyến của (C) biết tiếp tuyến song song với đường thẳng: 3x – y + 2 = 0
Câu 2. (1,0 điểm)

Câu 3. (0, 5 điểm) Giải phương trình: log4(x + 3) - log4(x - 1) = 2 - log48
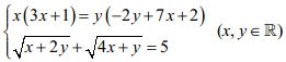
Câu 4. (1,0 điểm) Giải hệ phương trình:

Câu 5. (1,0 điểm) Tính tích phân

Câu 6. (1,0 điểm)

Câu 7. (1, 0 điểm)
Trong mặt phẳng với hệ tọa độ Oxy, cho hình thoi ABCD có hai đỉnh B, D lần lượt thuộc các đường thẳng d1: x + y - 8 = 0, d2: x - 2y + 3 = 0. Tìm tọa độ các đỉnh của hình thoi biết rằng diện tích của hình thoi bằng 75 và đỉnh A có hoành độ âm.
Câu 8. (1,0 điểm)
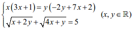
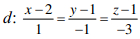
Trong không gian với hệ toạ độ Oxyz, cho mặt phẳng (P): x + y - z + 1 = 0 và đường thẳng:
Tìm giao điểm I của d và (P). Viết phương trình mặt cầu tâm I và đi qua A(-1;2;3)
Câu 9. (0,5 điểm) Một hộp đựng 10 viên bi đỏ, 8 viên bi vàng và 6 viên bi xanh. Lấy ngẫu nhiên 4 viên bi. Tính xác suất để các viên bi lấy được đủ cả 3 màu.
Câu 10. (1,0 điểm). Cho là ba số thực dương. Tìm giá trị nhỏ nhất của biểu thức sau:
![]()
Đáp án đề thi thử THPT Quốc gia môn Toán
Câu 1.a:

Câu 1.b

Câu 2.a:

Câu 2.b:

Câu 3:
Đk: x > 1
Phương trình đã cho tương đương:
![]()
↔ x = 4 (thỏa mãn đk)
Vậy phương trình có một nghiệm: x = 4
(Còn tiếp)