Đề thi thử THPT Quốc gia năm 2016 môn Toán trường THCS & THPT Nguyễn Viết Xuân, Phú Yên (Lần 1)
Đề thi thử THPT Quốc gia 2016 môn Toán
Đề thi thử THPT Quốc gia năm 2016 môn Toán trường THCS & THPT Nguyễn Viết Xuân, Phú Yên (Lần 1) gồm 9 câu hỏi có đáp án đi kèm, giúp các bạn học sinh luyện tập và củng cố kiến thức hiệu quả, từ đó, chuẩn bị tốt nhất cho kì thi THPT Quốc gia sắp tới, luyện thi Đại học, Cao đẳng môn Toán khối A, khối B, khối D.
Đề thi thử THPT Quốc gia môn Toán trường THPT Khoái Châu, Hưng Yên
Đề thi thử THPT Quốc gia năm 2016 môn Toán trường THPT Nguyễn Văn Trỗi, Hà Tĩnh
Đề thi thử THPT Quốc gia năm 2016 môn Toán trường THPT Trần Nhân Tông, Quảng Ninh
|
SỞ GIÁO DỤC VÀ ĐÀO TẠO PHÚ YÊN Trường THCS&THPT Nguyễn Viết Xuân |
ĐỀ THI THỬ THPT LẦN I - NĂM 2016MÔN: TOÁN (Ngày thi: 25/02/2016) Thời gian: 180 phút (không kể thời gian phát đề) |
Câu 1. (2,0 điểm) Cho hàm số có đồ thị y = f(x) = x3 + 3x2 - 2 có đồ thị (C).
1) Khảo sát sự biến thiên và vẽ đồ thị của hàm số.
2) Viết phương trình tiếp tuyến của (C) tại điểm có hoành độ xo, biết f"(xo) = 5xo + 7.
Câu 2. (1,0 điểm)
1) Giải phương trình: 2sin2x + √3sin2x - 2 = 0.
2) Cho số phức z thỏa mãn ![]()
Tìm phần thực, phần ảo của số phức w = 2z + 1.
Câu 3. (1,0 điểm)
1) Giải phương trình:
![]()
2) Một hộp chứa 4 viên bi trắng, 5 viên bi đỏ và 6 viên bi xanh. Lấy ngẫu nhiên từ hộp ra 4 viên bi. Tính xác xuất để 4 viên bi được chon có đủ 3 màu và số bi đỏ nhiều nhất.
Câu 4. (1,0 điểm) Tính tích phân:

Câu 5. (1,0 điểm) Trong không gian với hệ tọa độ Oxyz, cho hai điểm A(-3;0;4), B(1;0;0). Viết phương trình mặt cầu đường kính AB và tìm điểm M trên tia Oy sao cho MA = MB√13
Câu 6. (1,0 điểm) Cho lăng trụ ABC.A'B'C' có đáy là tam giác đều cạnh a, hình chiếu vuông góc của A' trên (ABC) là trung điểm cạnh AB, góc giữa đường thẳng A'C và mặt đáy bằng 600. Tính thể tích khối lăng trụ ABC.A'B'C' và tính khoảng cách từ B đến mặt phẳng (ACC'A').

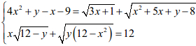
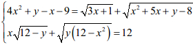
Câu 8. (1,0 điểm) Giải hệ phương trình:

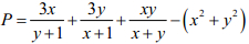
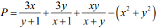
Câu 9. (1,0 điểm) Cho là các số thực dương thỏa mãn . Tìm giá trị lớn nhất của biểu thức
![]()
Đáp án đề thi thử THPT Quốc gia 2016 môn Toán
Câu 1:

Câu 2:

Câu 3:

(Còn tiếp)