Đề thi thử THPT Quốc gia môn Toán trường THPT Khoái Châu, Hưng Yên năm 2015 (Lần 1)
Đề thi thử THPT Quốc gia môn Toán có đáp án
Đề thi thử THPT Quốc gia môn Toán trường THPT Khoái Châu, Hưng Yên năm 2015 được VnDoc.com sưu tầm và đăng tải, là tài liệu tham khảo hữu ích dành cho các bạn thí sinh chuẩn bị bước vào kì thi THPT Quốc gia 2016 sắp tới. Mời các bạn tham khảo.
Đề thi thử THPT Quốc gia môn Toán lần 1 năm 2016 trường THPT Khoái Châu, Hưng Yên
Đề thi thử THPT Quốc gia năm 2016 môn Toán trường THPT Nguyễn Văn Trỗi, Hà Tĩnh
Đề thi thử THPT Quốc gia năm 2016 môn Toán trường THPT Trần Nhân Tông, Quảng Ninh
|
TRƯỜNG THPT KHOÁI CHÂU ĐỀ THI CHÍNH THỨC (Đề thi gồm 01 trang) |
KỲ THI THỬ THPT QUỐC GIA NĂM 2015 LẦN I Môn thi: TOÁN Thời gian làm bài: 180 phút, không kể thời gian phát đề |
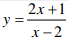
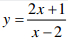
Câu 1 (2,0 điểm). Cho hàm số
có đồ thị (C)
a) Khảo sát và vẽ đồ thị (C) của hàm số.
b) Tìm giá trị lớn nhất, nhỏ nhất của hàm số
trên [3; 5]
Câu 2 (1,0 điểm).
a) Cho hàm số y = x3 - 3x2. Viết phương trình đường thẳng đi qua điểm cực đại và điểm cực tiểu của đồ thị hàm số đã cho.
b) Giải phương trình log23x - 8log3 x + 7 = 0
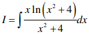
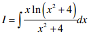
Câu 3 (1,0 điểm). Tính nguyên hàm

Câu 4 (1,0 điểm). Trong mặt phẳng tọa độ Oxy, cho đường tròn (C) có phương trình
![]()
Viết phương trình đường thẳng ∆ đi qua M(5; 2) và tiếp xúc với (C).
Câu 5 (1,0 điểm).
a) Giải phương trình (1 + sin2x)(cosx - sinx) = 1 - 2sin2x
b) Một lớp học có 27 học sinh nữ và 21 học sinh nam. Cô giáo chọn ra 5 học sinh để lập một tốp ca chào mừng 20 - 11. Tính xác suất để trong tốp ca đó có ít nhất một học sinh nữ.
Câu 6 (1,0 điểm). Cho hình chóp đều A.BCD có AB = a√3, BC = a. Gọi M là trung điểm của CD. Tính thể tích khối chóp A.BCD theo a và khoảng cách giữa hai đường thẳng BM, AD.

Đáp án đề thi thử THPT Quốc gia môn Toán
Câu 1.a:
TXĐ: D = R\{2}
Sự biến thiên

Câu 1.b

Câu 2.a

Câu 2.b

(Còn tiếp)