Đề thi thử THPT Quốc gia môn Toán năm 2016 trường THPT Thạch Thành 1, Thanh Hóa (Lần 2)
Đề thi thử THPT Quốc gia 2016 môn Toán
Đề thi thử THPT Quốc gia môn Toán năm 2016 trường THPT Thạch Thành 1, Thanh Hóa (Lần 2) gồm 10 câu hỏi có đáp án đi kèm, đây là đề luyện thi THPT Quốc gia môn Toán, ôn thi Đại học, Cao đẳng 2016 hữu ích dành cho các bạn thí sinh. Mời các bạn tham khảo.
Đề thi thử THPT Quốc gia môn Toán lần 1 năm 2016 trường THPT Thạch Thành 1, Thanh Hóa
Đề thi thử THPT Quốc gia môn Toán năm 2016 trường THPT Thạch Thành 1, Thanh Hóa (Lần 3)
Đề thi thử THPT Quốc gia môn Toán năm 2016 trường THPT Chuyên Hạ Long, Quảng Ninh
Đề thi thử THPT Quốc gia môn Toán năm 2016 trường THPT Chuyên Nguyễn Quang Diêu, Đồng Tháp
|
TRƯỜNG THPT THẠCH THÀNH I Tổ: Toán - Tin |
ĐỀ THI KSCL LẦN II - NĂM HỌC 2015 - 2016 Môn thi: Toán 12 Thời gian làm bài: 180 phút |
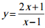
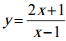
Câu 1 (1,0 điểm) Khảo sát sự biến thiên và vẽ đồ thị hàm số ![]()
Câu 2 (1,0 điểm) Tìm m để hàm số y = x3 - mx2 + 2m + 1 đạt giá trị cực tiểu tại x = 1.
Câu 3 (1,0 điểm)
1/ (0,5 điểm) Giải phương trình: 25x + 3.5x - 10 = 0
2/ (0,5 điểm) Giải bất phương trình: log2(x - 2) + log0,5(x) < 1
Câu 4 (1,0 điểm) Tính tích phân ![]()
Câu 5 (1,0 điểm)
Trong không gian với hệ tọa độ 0xyz cho hai điểm A(1;2;-3) và B(3;0;1). Lập phương trình mặt cầu nhận AB làm đường kính.
Câu 6 (1,0 điểm)
1/ (0,5 điểm)
![]()
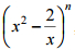
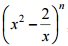
2/ (0,5 điểm) Tìm hệ số của x7 trong khai triển nhị thức Niu-tơn của
, biết rằng n là số nguyên dương thỏa mãn C0n + C1n + ... + Cnn = 2048.
Câu 7 (1,0 điểm) Cho hình chóp S.ABCD có đáy ABCD là hình vuông cạnh a. Mặt bên SAB nằm trong mặt phẳng vuông góc với đáy, hình chiếu vuông góc của S trên đường thẳng AB là điểm H thuộc đoạn AB sao cho BH= 2AH, góc giữa SC và mặt đáy ABCD bằng 45o. Gọi I là giao điểm của HC và BD. Tính thể tích khối chóp S.ABCD và khoảng cách từ I đến mặt phẳng (SCD).
Câu 8 (1,0 điểm) Cho tam giác ABC vuông cân tại A có trọng tâm G. gọi E, H lần lượt là trung điểm các cạnh AB, BC ; D là điểm đối xứng với H qua A, I là giao điểm của đường thẳng AB và CD. Biết điểm D(-1;-1) đường thẳng IG có phương trình 6x -3y - 7 = 0 và điểm E có hoành độ bằng 1. Tìm tọa độ các đỉnh của tam giác ABC.
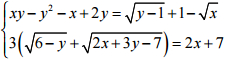
Câu 9 (1,0 điểm) Giải hệ phương trình: 
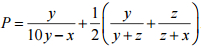
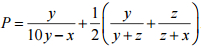
Câu 10 (1,0 điểm) Cho x, y, z là ba số thực thuộc đoạn [1;9] và x ≥ y, x ≥ z.
Tìm giá trị nhỏ nhất của biểu thức ![]()
Đáp án đề thi thử THPT Quốc gia môn Toán năm 2016
Câu 1:

Câu 2:

(Còn tiếp)