Đề thi thử THPT Quốc gia môn Toán năm 2016 trường THPT Chuyên Hạ Long, Quảng Ninh (Lần 2)
Đề thi thử THPT Quốc gia môn Toán 2016 trường THPT Chuyên Hạ Long
Đề thi thử THPT Quốc gia môn Toán năm 2016 trường THPT Chuyên Hạ Long, Quảng Ninh (Lần 2) gồm 10 câu hỏi có đáp án đi kèm, là đề luyện thi THPT Quốc gia hữu ích dành cho các bạn học sinh lớp 12, những bạn chuẩn bị bước vào kì thi THPT Quốc gia, luyện thi Đại học, Cao đẳng 2016. Mời các bạn tham khảo.
Đề thi thử THPT Quốc gia môn Hóa học trường THPT Chuyên Hạ Long, Quảng Ninh năm 2016
Đề thi thử THPT Quốc gia môn Toán năm 2016 trường THPT Chuyên Bến Tre
Đề thi minh họa và đáp án kỳ thi THPT Quốc gia năm 2016 môn Toán
|
TRƯỜNG THPT CHUYÊN HẠ LONG |
ĐỀ THI THỬ THPT QUỐC GIA LẦN 2 NĂM 2015 - 2016 Môn: TOÁN Thời gian làm bài: 180 phút, không kể thời gian phát đề |
Câu 1 (1,0 điểm). Khảo sát sự biến thiên và vẽ đồ thị hàm số ![]()
Câu 2 (1,0 điểm). Cho hàm số y = -x3 + 3x - 2 có đồ thị là (C). Viết phương trình tiếp tuyến của đồ thị (C) tại các giao điểm của nó với đường thẳng Δ có phương trình y = -x - 2.
Câu 3 (1,0 điểm).
a) Cho số phức z thỏa mãn
Tìm môđun của số phức ![]()
b) Giải phương trình 32 + x + 32 - x = 82.
Câu 4 (1,0 điểm). Tính tích phân ![]()
Câu 5 (1,0 điểm). Trong không gian với hệ toạ độ Oxyz, cho ba điểm A(1; 1; 1), B(3; 5; 2),C(3; 1; -3). Lập phương trình đường thẳng d đi qua gốc tọa độ O, vuông góc với mặt phẳng (ABC) và lập phương trình mặt cầu (S) ngoại tiếp tứ diện OABC.
Câu 6 (1,0 điểm).
a) Tính giá trị biểu thức ![]()
b) Chương trình Táo Quân năm 2016 (Gặp nhau cuối năm) có một trò chơi tên là Vòng quay kỳ diệu dành cho các Táo tương tự như trò chơi truyền hình Chiếc nón kỳ diệu trên kênh VTV3. Chiếc nón có hình tròn được chia đều thành các ô hình quạt, trong đó có 10 ô có tên "Tham nhũng", 4 ô có tên "Trong sạch" và 2 ô có tên "Phần thưởng". Có 4 Táo (Kinh tế, Xã hội, Giáo dục và Tinh thần) cùng tham gia trò chơi này, mỗi Táo chỉ được quay ngẫu nhiên một lần. Tính xác suất để cả 4 Táo đều quay vào ô "Trong sạch".
Câu 7 (1,0 điểm). Cho hình chóp S.ABC có đáy ABC là tam giác đều cạnh a, mặt bên SAC là tam giác cân tại S và nằm trong mặt phẳng vuông góc với mặt phẳng (ABC), đường thẳng SB tạo với mặt phẳng (ABC) một góc 60o, M là trung điểm cạnh BC. Tính theo a thể tích khối chóp S.ABC và khoảng cách giữa hai đường thẳng SM, AC.
Câu 8 (1,0 điểm). Trong mặt phẳng với hệ toạ độ Oxy, cho hình vuông ABCD có A(4;6). Gọi M , N lần lượt là các điểm nằm trên các cạnh BC và CD sao cho
M(4;0) và đường thẳng MN có phương trình 11x + 2y + 44 = 0. Tìm tọa độ các điểm B, C, D.
Câu 9 (1,0 điểm). Giải hệ phương trình 
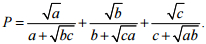
Câu 10 (1,0 điểm). Cho a, b, c là các số thực dương thỏa mãn ![]()
Tìm giá trị lớn nhất của biểu thức ![]()
Đáp án đề thi thử THPT Quốc gia môn Toán năm 2016
Câu 1:

Phương trình hoành độ giao điểm của (C) và Δ là -x3 + 3x - 2 = -x - 2
↔ x3 - 4x = 0 ↔ x = 0, x= -2, x= 2. Suy ra tọa độ các giao điểm của (C) và là A(0;-2), B(-2;0) và C(2;-4).
Ta có y' = -3x2 + 3. Hệ số góc của tiếp tuyến của (C) tại A, B, C lần lượt là y'(0) = 3, y'(-2) = -9, y'(2) = -9.
Phương trình tiếp tuyến của (C) tại A, B, C lần lượt là y = 3x - 3, y = -9x - 18, y = -9x + 14.
Câu 2:

(Còn tiếp)