Đề thi thử THPT Quốc gia môn Toán năm 2016 trường THPT Thạch Thành 1, Thanh Hóa (Lần 3)
Đề thi thử THPT Quốc gia năm 2016 môn Toán
Với nhiều câu hỏi hay và có những kiến thức cần thiết cho kì thi THPT Quốc gia, đề thi thử THPT Quốc gia môn Toán năm 2016 trường THPT Thạch Thành 1, Thanh Hóa (Lần 3) là đề luyện thi hữu ích dành cho các bạn học sinh lớp 12, những bạn chuẩn bị bước vào kì thi THPT Quốc gia, tuyển sinh Đại học, Cao đẳng 2016. Mời các bạn tham khảo.
Đề thi thử THPT Quốc gia môn Toán lần 1 năm 2016 trường THPT Thạch Thành 1, Thanh Hóa
Đề thi thử THPT Quốc gia môn Toán năm 2016 trường THPT Thạch Thành 1, Thanh Hóa (Lần 2)
| TRƯỜNG THPT THẠCH THÀNH I |
ĐỀ THI MÔN TOÁN, KHỐI 12 (lần 3) Năm học: 2015 - 2016 Thời gian làm bài 180 phút |
Câu 1 (1 điểm) Khảo sát sự biến thiên và vẽ đồ thị hàm số y = x4 - 2x2.
Câu 2 (1 điểm) Tìm giá trị lớn nhất và giá trị nhỏ nhất của hàm số f(x) = -x3 - 3x2 + 9x - 3 trên đoạn [0;2]
Câu 3 (1 điểm)
a) Giải phương trình: log2x + log2(x - 1) = 1
b) Giải bất phương trình: 9x - 8.3x - 9 > 0
Câu 4 (1 điểm) Tính tích phân: 
Câu 5 (1 điểm)
Trong không gian với hệ tọa độ Oxyz, cho các điểm A(2;-1;0), B(3;-3;-1) và mặt phẳng (P): x + y + z - 3 = 0. Viết phương trình mặt phẳng trung trực của đoạn thẳng AB. Tìm tọa độ giao điểm của đường thẳng với mặt phẳng (P).
Câu 6 (1 điểm)
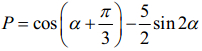
a) Cho góc α thỏa mãn ![]()
Tính giá trị của biểu thức 
b) Một lô hàng có 11 sản phẩm, trong đó có 2 phế phẩm, lấy ngẫu nhiên 5 sản phẩm trong lô hàng đó. Tính xác suất để trong 5 sản phẩm đó có không quá 1 phế phẩm.
Câu 7 (1 điểm) Cho hình chóp S.ABCD có đáy ABCD là hình chữ nhật với Ab = a, AD = 2a, SA ⊥ (ABCD), SA = a. Tính theo thể tích khối chóp S.ABCD và khoảng cách từ A điểm đến mặt phẳng (SBM), với M là trung điểm của cạnh CD.
Câu 8 (1 điểm) Trong mặt phẳng với hệ toạ độ Oxy, cho hình chữ nhật ABCD có AD = 2AB. Gọi M, N lần lượt là trung điểm của các cạnh AD, BC. Trên đường thẳng MN lấy điểm K sao cho N là trung điểm của đoạn thẳng MK. Tìm tọa độ các đỉnh A, B, C, D biết K(5;-1), phương trình đường thẳng chứa cạnh AC là 2x + y - 3 = 0 và điểm A có tung độ dương.
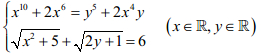
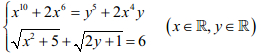
Câu 9 (1 điểm) Giải hệ phương trình 
Câu 10 (1 điểm) Cho các số thực dương a, b, c. Tìm giá trị nhỏ nhất của biểu thức
![]()
Đáp án đề thi thử THPT Quốc gia môn Toán năm 2016
Câu 1:
HS tự giải
Câu 2:
Ta có hàm số f(x) xác định và liên tục trên đoạn [0;2];
f'(x) = -3x2 - 6x + 9
Với x ∈ [0;2], f'(x) = 0 ↔ x = 1
Ta có f(0) = -3, f(1) = 2, f(2) = -5
Giá trị lớn nhất, giá trị nhỏ nhất của hàm số f(x) trên đoạn lần lượt là 2 và -5.
Câu 3:
a) Điều kiện x > 1. Phương trình đã cho tương đương với log2x(x - 1) = 1 ↔ x2 - x - 2 = 0
x = -1 (loại); x = 2. Vậy pt đã cho có nghiệm duy nhất x = 2.
b) Đặt t = 3x (t > 0). Bất pt trở thành t2 - 8t - 9 > 0 -> t < -1 (loại); t > 9
3x > 9 ↔ x > 2. Bất pt đã cho có nghiệm x > 2
(Còn tiếp)