Đề thi thử THPT Quốc gia năm 2016 môn Toán tỉnh Vĩnh Phúc (Lần 2)
Đề thi thử THPT Quốc gia năm 2016 môn Toán
Đề thi thử THPT Quốc gia năm 2016 môn Toán tỉnh Vĩnh Phúc (Lần 2) gồm 10 câu hỏi tự luận Toán, có độ khó tương đương đề thi THPT Quốc gia môn Toán chính thức của Bộ Giáo dục - Đào tạo, giúp các bạn học sinh kiểm tra kiến thức và từ đó có hướng ôn tập hiệu quả. Mời các bạn tham khảo.
Đề thi thử THPT Quốc gia năm 2016 môn Toán tỉnh Vĩnh Phúc (Lần 1)
Đề thi thử THPT Quốc gia môn Toán lần 1 năm 2016 trường THPT Chuyên Vĩnh Phúc
|
SỞ GD&ĐT VĨNH PHÚC (Đề thi gồm 01 trang) |
ĐỀ KSCL ÔN THI THPT QUỐC GIA LẦN 2 NĂM HỌC 2015-2016 MÔN: TOÁN Thời gian làm bài: 180 phút, không kể thời gian giao đề. |
Câu 1 (1,0 điểm). Khảo sát sự biến thiên và vẽ đồ thị của hàm số y = x3 - 3x2.
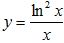
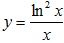
Câu 2 (1,0 điểm). Tìm giá trị lớn nhất và giá trị nhỏ nhất của hàm số
trên đoạn [1; 3].
Câu 3 (1,0 điểm).
a) Giải bất phương trình 32x+1 - 2.3x - 1 ≥ 0 (x ∈ R)
b) Giải phương trình log3(9x) + log9x = 5 (x ∈ R)
Câu 4 (1,0 điểm).
Tính diện tích hình phẳng giới hạn bởi các đường
, y = 0, x = 1, x = e.
Câu 5 (1,0 điểm). Trong không gian với hệ tọa độ Oxyz, cho điểm A(2; -1; 3). Viết phương trình mặt phẳng (α) đi qua A và vuông góc với trục Oz. Viết phương trình mặt cầu tâm O tiếp xúc với mặt phẳng (α).
Câu 6 (1,0 điểm).
a) Giải phương trình 2cos2x + 8sinx - 5 = 0 (x ∈ R)
b) Đội thanh niên tình nguyện của một trường THPT có 100 học sinh, trong đó có 60 học sinh nam và 40 học sinh nữ. Nhà trường chọn ngẫu nhiên 3 học sinh từ đội thanh niên tình nguyện đó để tham gia một tiết mục văn nghệ chào mừng ngày thành lập Đoàn TNCS Hồ Chí Minh. Tính xác suất để 3 học sinh được chọn có đúng 1 học sinh nữ.
Câu 7 (1,0 điểm). Cho hình chóp S.ABCD có đáy ABCD là hình vuông cạnh a, SA vuông góc với mặt phẳng đáy. Gọi E là trung điểm của BC, góc giữa SC và mặt phẳng (SAB) bằng 30o. Tính theo a thể tích khối chóp S.ABCD và khoảng cách giữa hai đường thẳng DE, SC.
Câu 8 (1,0 điểm). Trong mặt phẳng với hệ tọa độ Oxy, cho tứ giác ABCD nội tiếp đường tròn đường kính BD. Đỉnh B thuộc đường thẳng Δ có phương trình x + y - 5 = 0. Các điểm E và F lần lượt là hình chiếu vuông góc của D và B lên AC. Tìm tọa độ các đỉnh B, D biết CE = √5 và A(4; 3), C(0; -5).
Câu 9 (1,0 điểm). Giải phương trình
![]()
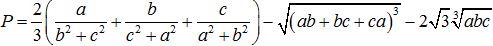
Câu 10 (1,0 điểm). Cho các số thực dương a, b, c thoả mãn điều kiện a2 + b2 + c2 ≤ 1. Tìm giá trị nhỏ nhất của biểu thức
![]()
Đáp án đề thi thử THPT Quốc gia năm 2016 môn Toán






