Đề thi thử THPT Quốc gia môn Toán năm 2016 trường THPT Chuyên Nguyễn Quang Diêu, Đồng Tháp (Lần 1)
Đề thi thử THPT Quốc gia năm 2016 môn Toán
Đề thi thử THPT Quốc gia môn Toán năm 2016 trường THPT Chuyên Nguyễn Quang Diêu, Đồng Tháp (Lần 1) có 10 câu hỏi cùng đáp án đi kèm, giúp các bạn thí sinh luyện tập và nâng cao kỹ năng làm bài, từ đó, chuẩn bị tốt nhất cho kì thi THPT Quốc gia 2016, xét tuyển Đại học, Cao đẳng sắp tới.
Đề thi thử THPT Quốc gia môn Toán năm 2016 trường THPT Chuyên Biên Hòa, Hà Nam
Đề thi thử THPT Quốc gia môn Toán năm 2016 trường THPT Yên Phong 2, Bắc Ninh
Đề thi thử THPT Quốc gia môn Toán năm 2016 trường THPT Cù Huy Cận, Hà Tĩnh
|
TRƯỜNG THPT CHUYÊN NGUYỄN QUANG DIÊU |
ĐỀ THI THỬ THPT QUỐC GIA NĂM 2016 – LẦN 1 Môn: TOÁN Thời gian làm bài: 180 phút, không kể thời gian phát đề |
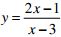
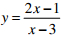
Câu 1 (1,0 điểm). Khảo sát sự biến thiên và vẽ đồ thị hàm số ![]()
Câu 2 (1,0 điểm). Viết phương trình tiếp tuyến với đồ thị hàm số y = x3 + 3x2 - 2, biết rằng tiếp tuyến vuông góc với đường thẳng d: x + 9y - 3 = 0.
Câu 3 (1,0 điểm).
a) Giải bất phương trình log2(x - 3) - log1/2(x - 2) ≤ 1
b) Cho số phức z thỏa mãn điều kiện
. Tính môđun của z .
Câu 4 (1,0 điểm). Tính tích phân 
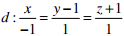
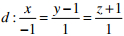
Câu 5 (1,0 điểm). Trong không gian với hệ tọa độ Oxyz, cho mặt phẳng (P): x + y + z - 3 = 0 và đường thẳng d:
. Tìm tọa độ giao điểm A của d với () và lập phương trình tham số của đường thẳng đi qua điểm A, vuông góc với đường thẳng d và nằm trong mặt phẳng (P).
Câu 6 (1,0 điểm).
a) Giải phương trình 2sin(2x + π/3) - 3cos2x = -2.
b) Giải U21 Quốc tế báo Thanh Niên – Cúp Clear Men 2015 quy tụ 6 đội bóng gồm: ĐKVĐ U21 HA.GL, U21 Singapore, U21 Thái Lan, U21 Báo Thanh niên Việt Nam, U21 Myanmar và U19 Hàn Quốc. Các đội chia thành 2 bảng A, B, mỗi bảng 3 đội. Việc chia bảng được thực hiện bằng cách bốc thăm ngẫu nhiên. Tính xác suất để hai đội tuyển U21 HA.GL và U21 Thái Lan nằm ở hai bảng khác nhau.
Câu 7 (1,0 điểm). Cho hình chóp S.ABCD có đáy ABCD là hình chữ nhật, AB = 2 , a AD = a, K là hình chiếu vuông góc của B lên đường chéo AC , các điểm H, M lần lượt là trung điểm của AK và DC , SH vuông góc với mặt phẳng ( ABCD), góc giữa đường thẳng SB và mặt phẳng (ABCD) bằng 45o. Tính theo a thể tích khối chóp S.ABCD và khoảng cách giữa hai đường thẳng SB và MH.
Câu 8 (1,0 điểm). Trong mặt phẳng với hệ tọa độ Oxy , cho tam giác ABC vuông tại A . Gọi H là hình chiếu vuông góc của A trên BC, các điểm M(2;-1), N lần lượt là trung điểm của HB và HC; điểm K(-1/2; 1/2) là trực tâm tam giác AMN. Tìm tọa độ điểm C , biết rằng điểm A có tung độ âm và thuộc đường thẳng d: x + 2y + 4 = 0.
Câu 9 (1,0 điểm). Giải hệ phương trình ![]()
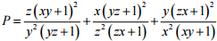
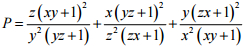
Câu 10 (1,0 điểm). Cho ba số thực dương x, y, z thỏa mãn x + y + z 3/2.
Tìm giá trị nhỏ nhất của biểu thức ![]()
Đáp án đề thi thử THPT Quốc gia 2016 môn Toán
Câu 1:

Tính đối xứng:
Đồ thị nhận giao điểm I (3;2) của hai tiệm cận làm tâm đối xứng

Câu 2:
Với x = 1 → y = 2, tiếp điểm (1;2). Phương trình tiếp tuyến là y = 9x - 7.
Với x = -3 → y = -2, tiếp điểm (-3;-2). Phương trình tiếp tuyến là y = 9x + 25.
(Còn tiếp)