Đề thi thử THPT Quốc gia môn Toán năm 2016 trường THPT Chuyên Biên Hòa, Hà Nam (Lần 1)
Đề thi thử THPT Quốc gia năm 2016 môn Toán
Đề thi thử THPT Quốc gia 2016 môn Toán trường THPT Chuyên Biên Hòa, Hà Nam (Lần 1) gồm 10 câu hỏi có đáp án đi kèm. Đây là đề luyện thi THPT Quốc gia hữu ích dành cho các bạn thí sinh, giúp các bạn luyện tập và nâng cao kỹ năng làm bài môn Toán. Mời các bạn tham khảo.
Đề thi thử THPT Quốc gia môn Toán năm 2016 trường THPT Yên Phong 2, Bắc Ninh
Đề thi thử THPT Quốc gia môn Toán năm 2016 trường THPT Cù Huy Cận, Hà Tĩnh
Đề thi thử THPT Quốc gia môn Toán năm 2016 trường THPT Trần Quang Khải
| TRƯỜNG THPT CHUYÊN BIÊN HÒA |
ĐỀ THI THỬ THPT QUỐC GIA LẦN 1 Năm học 2015 - 2016 Môn: TOÁN Thời gian làm bài : 180 phút, không kể thời gian phát đề |
Câu 1 (1,0 điểm). Khảo sát sự biến thiên và vẽ đồ thị của hàm số y = -x3 + 3x + 1.
Câu 2 (1,0 điểm). Tìm các điểm cực trị của đồ thị hàm số ![]()
Câu 3 (1,0 điểm).
a) Cho số phức z thỏa mãn
. Tìm modun của số z.
b) Giải bất phương trình 32x + 1 - 22x + 1 - 5.6x < 0
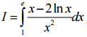
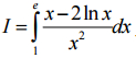
Câu 4 (1,0 điểm). Tính tích phân 
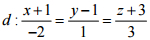
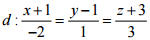
Câu 5 (1,0 điểm). Trong không gian với hệ toạ độ Oxyz, cho điểm A(-4;1;3) và đường thẳng ![]()
Viết phương trình mặt phẳng ( ) P đi qua A và vuông góc với đường thẳng d . Tìm tọa độ điểm B thuộc d sao cho AB = √5.
Câu 6 (1,0 điểm).
a) Giải phương trình sin2x + 1 = 6sinx + cos2x
b) Để chào mừng ngày 26/03, trường tổ chức cắm trại. Lớp 10 A ó 19 học sinh nam, 16 học sinh nữ. Giáo viên cần chọn 5 học sinh để trang trí trại. Tính xác suất để trong 5 học sinh được chọn có ít nhất 1 học sinh nữ biết rằng học sinh nào trong lớp cũng có khả năng trang trí trại.
Câu 7 (1,0 điểm). Cho hình chóp S.ABCD có đáy là hình thang vuông tại A và B. Các mặt bên (SAB) và (SAD) cùng vuông góc với mặt phẳng đáy. Cho AB = 2a, AD > a. SA = BC = a, CD = 2a√5. Gọi H là điểm nằm trên đoạn AD sao cho AH = a . Tính thể tích của khối chóp SABCD và khoảng cách giữa hai đường thẳng BH và SC theo a.
Câu 8 (1,0 điểm). Trong mặt phẳng với hệ toạ độ Oxy cho tam giác ABC có AC = 2AB, điểm M (1;9/2) sao cho góc BAD = góc CAM. Gọi E là trung điểm của AC, đường thẳng DE có phương trình: 2x + 11y - 44 = 0, điểm B thuộc đường thẳng d có phương trình: x + y – 6 = 0. Tìm tọa độ 3 điểm A, B, C biết hoành độ của điểm A là một số nguyên.
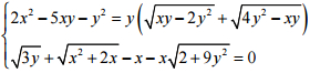
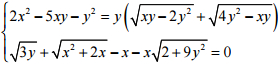
Câu 9 (1,0 điểm). Giải hệ phương trình: 
Câu 10 (1,0 điểm). Cho các số a, b, c không âm sao cho tổng hai số bất kì đều dương.
Chứng minh rằng: 
Đề thi thử THPT Quốc gia môn Toán năm 2016
Câu 1:
TXĐ: D = R
y' = -3x2 + 3, y' = 0 ↔ x = ±1

Câu 2:

(Còn tiếp)