Đề thi thử THPT Quốc gia môn Toán năm 2016 trường THPT Cù Huy Cận, Hà Tĩnh (Lần 2)
Đề thi thử THPT Quốc gia 2016 môn Toán
Đề thi thử THPT Quốc gia môn Toán năm 2016 trường THPT Cù Huy Cận, Hà Tĩnh (Lần 2) được VnDoc.com sưu tầm và đăng tải, giúp các bạn luyện tập hiệu quả, chuẩn bị tốt nhất cho kì thi THPT Quốc gia 2016 môn Toán sắp diễn ra. Mời các bạn tham khảo.
Đề thi thử THPT Quốc gia năm 2016 môn Toán trường THPT Đoàn Thượng, Hải Dương
Đề thi thử THPT Quốc gia môn Toán năm 2016 trường THPT Trần Quang Khải
Đề thi thử THPT Quốc gia môn Toán năm 2016 trường THPT Lương Tài 2, Bắc Ninh
|
SỞ GD & ĐT HÀ TĨNH TRƯỜNG THPT CÙ HUY CẬN |
ĐỀ THI THỬ THPT QUỐC GIA LẦN II NĂM HỌC 2015 - 2016 MÔN THI: TOÁN Thời gian làm bài: 180 phút không kể thời gian giao đề |
Câu 1 (2,0 điểm ). Cho hàm số ![]()
a) Khảo sát sự biến thiên và vẽ đồ thị hàm số (C).
b) Viết phương trình tiếp tuyến của đồ thị (C) biết tiếp tuyến có hệ số góc bằng 3.
Câu 2 (1,0 điểm).
a) Giải phương trình sau: 25x + 4.5x - 21 = 0
b) Cho số phức z thỏa mãn
Tính mođun của số phức z
Câu 3 (1 điểm). Tính tích phân ![]()
Câu 4 (1 điểm). Trong không gian với hệ tọa độ Oxyz, cho đường thẳng d và mặt phẳng (P) có phương trình
Tìm tọa độ giao điểm A của đường thẳng d và mặt phẳng (P). Viết phương trình mặt cầu (S) có tâm I(1;2;-3) và đi qua A.
Câu 5 (1,0 điểm).
a) Giải phương trình:(2cosx + 1)(√3cosx + 2sinx - 3) = sinx + sin2x
b) Đoàn trường trung học phổ thông Cù Huy Cận có 18 chi đoàn học sinh gồm 6 chi đoàn khối 10, 5 chi đoàn khối 11 và 7 chi đoàn khối 12. Nhân kỷ niệm "85 năm thành lập Đoàn thanh niên cộng sản Hồ Chí Minh" Đoàn trường cần chọn 4 bí thư chi đoàn từ các chi đoàn trên để đi tham dự mít tinh ở Huyện đoàn. Tính xác suất để chọn được 4 bí thư chi đoàn sao cho có đủ bí thư chi đoàn của ba khối.
Câu 6 (1 điểm). Cho hình chóp S.ABCD có đáy ABCD là hình vuông cạnh a, SA vuông góc với mặt phẳng (ABCD), góc giữa SC và mặt phẳng (ABCD) bằng 60o. Gọi M là trung điểm của CD , N là hình chiếu vuông góc của D trên SM. Tính thể tích khối chóp S.ABCD và khoảng cách từ N đến mặt phẳng (SBC) theo a.
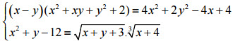
Câu 7 (1 điểm). Giải hệ phương trình: 
Câu 8 (1 điểm). Trong mặt phẳng với hệ tọa độ Oxy, cho hình thang ABCD vuông tại A và B có phương trình cạnh CD là 3x - y - 14 = 0. Điểm M là trung điểm của AB, điểm N(0,-3/2) là trung điểm của MA. Gọi H K, lần lượt là hình chiếu vuông góc của A B, trên MD và MC. Xác định tọa độ các đỉnh của hình thang ABCD biết điểm M nằm trên đường thẳng d: 2x - y - 3 = 0, hai đường thẳng AH và BK cắt nhau tại điểm P(5/2; -3/2)
Câu 9 (1 điểm). Cho x, y, z là các số thực dương thỏa mãn x + y + z ≥ 2 và x2 + y2 + 2z2 = 4.
Tìm giá trị lớn nhất của biểu thức: 
Đáp án đề thi thử THPT Quốc gia môn Toán năm 2016
Câu 1.a:
Tập xác định D = R \ {-1}
Sự biến thiên

Câu 1.b:
Gọi x0 là hoành độ của tiếp điểm của tiếp tuyến và đồ thị (C) .Khi đó theo bài ra ta có phương trình: y'(x0) = 3.

(Còn tiếp)