Đề thi thử THPT Quốc gia môn Toán năm 2016 trường THPT Yên Phong 2, Bắc Ninh (Lần 2)
Đề thi thử THPT Quốc gia 2016 môn Toán
Đề thi thử THPT Quốc gia môn Toán năm 2016 trường THPT Yên Phong 2, Bắc Ninh (Lần 2) gồm 10 câu hỏi có đáp án đi kèm, đây là đề luyện thi THPT Quốc gia môn Toán hữu ích dành cho các bạn thí sinh có ý định xét tuyển Đại học, Cao đẳng khối A, B và D. Mời các bạn tham khảo.
Đề thi thử THPT Quốc gia môn Toán năm 2016 trường THPT Cù Huy Cận, Hà Tĩnh
Đề thi thử THPT Quốc gia năm 2016 môn Toán trường THPT Đoàn Thượng, Hải Dương
Đề thi thử THPT Quốc gia môn Toán năm 2016 trường THPT Trần Quang Khải
|
SỞ GD & ĐT BẮC NINH TRƯỜNG THPT YÊN PHONG SỐ 2 NĂM HỌC 2015 - 2016 |
ĐỀ THI THỬ THPT QUỐC GIA LẦN 2 Môn thi: TOÁN 12 Thời gian: 180 phút, không kể thời gian phát đề |
Câu 1 (1,0 điểm). Khảo sát sự biến thiên và vẽ đồ thị của hàm số y = x4 - 2x2 - 2
Câu 2 (1,0 điểm). Tìm giá trị lớn nhất và giá trị nhỏ nhất của hàm số f(x) = x2 - ln(1 - 2x) trên đoạn [-1;0]
Câu 3 (1,0 điểm).
a. Giải phương trình: sin2x - √2 = 2√2cosx - sinx
b. Giải phương trình: 
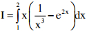
Câu 4 (1,0 điểm). Tính tích phân: ![]()
Câu 5 (1,0 điểm). Trong không gian với hệ tọa độ Oxyz, cho các điểm A(1 ; -2 ; -5) , B( 2; -1 ; 3) và mặt phẳng (P) : 2x – y + z +10 = 0. Gọi M là giao điểm của đường thẳng AB với mặt phẳng (P). Hãy viết phương trình mặt phẳng (Q) đi qua hai điểm A, B,vuông góc với mặt phẳng (P) và viết phương trình mặt cầu đường kính AM.
Câu 6 (1,0 điểm).
a. Không dùng máy tính, hãy tính giá trị của biểu thức: 
b. Trường trung học phổ thông Yên Phong số 2 có tổ toán gồm 15 giáo viên trong đó có 4 nữ và 11 nam. Tổ Lí - Tin có 14 giáo viên trong đó có 6 nam và 8 nữ. Chọn ngẫu nhiên mỗi tổ 2 giáo viên đi thi giáo viên dạy giỏi cấp tỉnh.Tính xác suất sao cho trong các giáo viên được chọn có 2 nam và 2 nữ.
Câu 7 (1,0 điểm). Cho hình chóp S.ABCD có đáy ABCD là hình vuông cạnh a. Mặt bên SAB là tam giác đều và nằm trong mặt phẳng vuông góc với đáy. Gọi M là trung điểm của cạnh AD. Tính theo a thể tích của khối chóp S.ABCD và khoảng cách giữa hai đường thẳng SA, CM.
Câu 8 (1,0 điểm). Trong mặt phẳng với hệ tọa độ Oxy, cho tam giác ABC. Gọi D (1 ; -1) là chân đường phân giác trong của góc A. Tiếp tuyến tại A của đường tròn ngoại tiếp tam giác ABC có phương trình x + 2y – 7 = 0.Đường thẳng AB có phương trình 3x + 2y – 9 = 0.Viết phương trình đường tròn ngoại tiếp tam giác ABC.
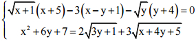
Câu 9 (1,0 điểm). Giải hệ phương trình: 
Câu 10 (1,0 điểm). Cho a , b , c là ba số thực không âm thỏa mãn điều kiện ab + bc+ ca =1.
Tìm giá trị lớn nhất của biểu thức ![]()
Đáp án đề thi thử THPT Quốc gia môn Toán năm 2016
Câu 1:

(Còn tiếp)