Đề thi thử THPT Quốc gia năm 2016 môn Toán trường THPT Quảng Xương 4, Thanh Hóa
Đề thi thử THPT Quốc gia 2016 môn Toán
Đề thi thử THPT Quốc gia năm 2016 môn Toán trường THPT Quảng Xương 4, Thanh Hóa gồm 10 câu hỏi có đáp án đi kèm. Đây là đề luyện tập hữu ích dành cho các bạn thí sinh chuẩn bị bước vào kì thi THPT Quốc gia, luyện thi Đại học 2016. Mời các bạn tham khảo.
Bộ công thức Toán lớp 12 ôn thi THPT Quốc gia từ A - Z
|
TRƯỜNG THPT QUẢNG XƯƠNG IV THANH HÓA (Đề thi gồm 01 trang) |
THI KHẢO SÁT CHẤT LƯỢNG NĂM HỌC 2015 - 2016 Môn thi: Toán Thời gian làm bài: 180 phút, không kể thời gian phát đề |
Câu 1 (1,0 điểm). Khảo sát sự biến thiên và vẽ đồ thị của hàm số
![]()
Câu 2 (1,0 điểm). Tìm giá trị lớn nhất và nhỏ nhất của hàm số f(x) = 2x + 3/x trên đoạn [2,5]
Câu 3 (1,0 điểm).
a) Cho số phức z thỏa mãn (2 + i)z + 5 - 6y. Tìm phần thực và phần ảo của z.
b) Giải phương trình log3(x2 - x + 1) = 1.
Câu 4 (1,0 điểm). Tính tích phân
![]()
Câu 5 (1,0 điểm). Trong không gian với hệ tọa độ Oxyz, cho các điểm A(1;-1;-2), B(3;1;1) và mặt phẳng (P): x - 2y + 3z - 5 = 0. Viết phương trình đường thẳng AB, tìm góc giữa đường thẳng AB với mặt phẳng (P), và tìm tọa độ giao điểm của đường thẳng AB với mặt phẳng (P).
Câu 6 (1,0 điểm).
a) Tính giá trị của biểu thức P = (3cos2α)(1 + 2cos2α), biết sinα = 2/3.
b) Có hai thùng đựng một loại nước mắm Cự Nham - Xã Quảng Nham - Huyện Quảng Xương nổi tiếng Tỉnh Thanh Hóa. Thùng thứ nhất đựng 10 chai (6 chai nước mắm Cự Nham thật và 4 chai nước mắm Cự Nham rởm do kẻ gian bỏ vào ). Thùng thứ hai đựng 8 chai (5 chai nước mắm Cự Nham thật và 3 chai nước mắm Cự Nham rởm do kẻ gian bỏ vào ). Lấy ngẫu nhiên mỗi thùng một chai. Tính xác suất để hai chai lấy được có ít nhất một chai là nước mắm Cự Nham thật.
Câu 7 (1,0 điểm). Cho hình chóp S.ABC có đáy ABC là tam giác vuông tại B, AB = 2a, BAC = 60o, cạnh bên SA vuông góc với đáy và SA = a√3. Gọi M là trung điểm của cạnh AB. Tính thể tích khối chóp S.ABC và khoảng cách giữa hai đường thẳng SB và CM theo a.
Câu 8 (1,0 điểm). Trong mặt phẳng với hệ tọa độ Oxy, cho tam giác ABC có AD là phân giác trong của góc A. Các điểm M và N tương ứng thuộc các cạnh AB và AC sao cho BM = BD, CN = CD. Biết D(-1;-1/2), M(3/2;2), N(-5/2;4), hãy viết phương trình của các cạnh tam giác ABC.
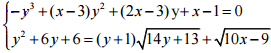
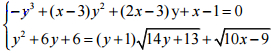
Câu 9 (1,0 điểm). Giải hệ phương trình sau trên tập số thực

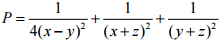
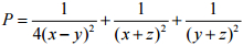
Câu 10 (1,0 điểm). Giả sử x, y, z là các số thực dương thỏa mãn x > y và xy + (x + y)z + z2 = 1. Tìm giá trị nhỏ nhất của biểu thức
![]()
Đáp án đề thi thử THPT Quốc gia môn Toán năm 2016
Câu 1:

(Còn tiếp)