Đề thi thử THPT Quốc gia môn Toán năm 2016 trường THPT Hậu Lộc 2, Thanh Hóa (Lần 3)
Đề thi thử THPT Quốc gia môn Toán năm 2016
Đề thi thử THPT Quốc gia môn Toán năm 2016 trường THPT Hậu Lộc 2, Thanh Hóa (Lần 3) là tài liệu hữu ích dành cho ôn thi tốt nghiệp, ôn thi THPT Quốc gia, ôn thi đại học môn Toán. Tài liệu này gồm đề thi và đáp án kèm theo, giúp các bạn dễ dàng luyện tập và kiểm tra kết quả. Mời các bạn tải về để tham khảo.
Đề thi thử THPT Quốc gia môn Toán lần 1 năm 2016 trường THPT Hậu Lộc 2, Thanh Hóa
Đề thi thử THPT Quốc gia năm 2016 môn Hóa học trường THPT Hậu Lộc 2, Thanh Hóa (Lần 2)
Bộ đề thi thử THPT Quốc gia năm 2016 môn Vật lý trường THPT Hậu Lộc 2, Thanh Hóa (Lần 1)
| SỞ GIÁO DỤC & ĐÀO TẠO THANH HÓA TRƯỜNG THPT HẬU LỘC 2 |
ĐỀ THI THỬ THPT QUỐC GIA LẦN 3 NĂM HỌC 2015 - 2016 Môn: TOÁN Thời gian làm bài: 180 phút (không kể thời gian phát đề) |
Câu 1 (1,0 điểm). Khảo sát sự biến thiên và vẽ đồ thị của hàm số y = x3 - 3x2.
Câu 2 (1,0 điểm). Tìm giá trị lớn nhất và giá trị nhỏ nhất của hàm số
trên đoạn [1;4].
Câu 3 (1,0 điểm).
a) Gọi z1, z2 là hai nghiệm phức của phương trình z2 - 4z + 5 = 0; M, N là các điểm biểu diễn z1, z2 trên mặt phẳng phức. Tính độ dài đoạn thẳng MN.
b) Giải phương trình log3(8.3x + 9) = 2x trên tập số thực.
Câu 4 (1,0 điểm). Tính diện tích hình phẳng giới hạn bởi đồ thị hàm số y = x3 - 3x2 và trục hoành.
Câu 5 (1,0 điểm).
Trong không gian với hệ tọa độ Oxyz, cho mặt phẳng (P): x + 2y + 2z - 11 = 0 và điểm I(3; 6; 7). Lập phương trình mặt cầu (S) tâm I và tiếp xúc với (P). Tìm tọa độ tiếp điểm của (P) và (S).
Câu 6 (1,0 điểm).
a) Tính giá trị của biểu thức
, biết cosα = -2/3.
b) Biển số xe ô tô của tỉnh X (nếu không kể mã số tỉnh) có 7 kí tự, trong đó kí tự ở vị trí đầu tiên là một chữ cái (trong 26 chữ cái tiếng Anh), kí tự ở vị trí thứ hai là một chữ số thuộc tập {1; 2;...; 9}, mỗi kí tự ở năm vị trí tiếp theo là một chữ số thuộc tập {0; 1; 2;...; 9}. Một người chọn ngẫu nhiên một biển số xe trong tất cả các biển số trên. Tính xác suất để người đó chọn được một biển số mà có 5 kí tự ở 5 vị trí cuối là một dãy số tiến (chữ số liền sau lớn hơn chữ số liền trước).
Câu 7 (1,0 điểm). Cho hình chóp S.ABCD có đáy là hình thang vuông tại A và B; AB = BC = a, AD = 2a. Hai mặt phẳng (SAD) và (SAB) cùng vuông góc với mặt phẳng đáy. Góc giữa SC và mặt phẳng (ABCD) bằng 45o. Gọi M là trung điểm AD. Tính theo a thể tích khối chóp S.ABCD và khoảng cách giữa hai đường thẳng SM và BD.
Câu 8 (1,0 điểm). Trong mặt phẳng với hệ toạ độ Oxy, cho tam giác ABC nội tiếp đường tròn tâm I. Gọi H(-17/5; 9/5), K(-1; 3) lần lượt là hình chiếu vuông góc của A lên BC và B lên AI. Phương trình đường phân giác trong của góc A là (d): 3x - y + 8 = 0. Tìm tọa độ các đỉnh của tam giác ABC.
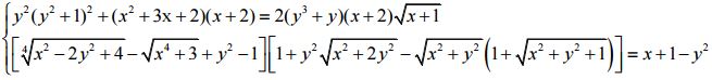
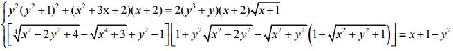
Câu 9 (1,0 điểm). Giải hệ phương trình sau trên tập số thực:

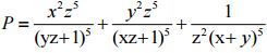
Câu 10 (1,0 điểm). Cho x, y, z là các số thực dương thỏa mãn: x8z8 + y8z8 ≤ 3z8 - 1.
Tìm giá trị nhỏ nhất của biểu thức:
.
Đáp án đề thi thử THPT Quốc gia môn Toán năm 2016






