Đề thi thử THPT Quốc gia môn Toán năm 2016 trường THPT Ngọc Tảo, Hà Nội
Đề thi thử THPT Quốc gia môn Toán năm 2016
Nhằm giúp các bạn thử sức trước kì thi THPT Quốc gia 2016, VnDoc xin giới thiệu đề thi thử THPT Quốc gia môn Toán năm 2016 trường THPT Ngọc Tảo, Hà Nội. Hi vọng tài liệu này giúp các bạn ôn luyện môn Toán hiệu quả và đạt kết quả cao trong kì thi tới. Mời các bạn tham khảo.
Đề thi thử THPT Quốc gia môn Toán lần 1 năm 2016 trường THPT Hàn Thuyên, Bắc Ninh
Đề thi thử THPT Quốc gia môn Vật lý năm 2016 trường THPT Ngọc Tảo, Hà Nội
|
TRƯỜNG THPT NGỌC TẢO Năm học 2015-2016 |
ĐỀ KIỂM TRA CHẤT LƯỢNG KHỐI 12 Môn: TOÁN Thời gian làm bài: 180 phút, không kể thời gian phát đề |
Câu 1 (2 điểm) Cho hàm số
(1)
a) Khảo sát sự biến thiên và vẽ đồ thị (C) của hàm số (1).
b) Tìm giá trị của m để phương trình x4 + 2x2 + m = 0 có hai nghiệm phân biệt.
Câu 2 (1 điểm)
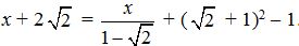
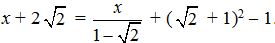
a) Tìm các số nguyên a, b biết rằng: x = a + b√2 và
.
b) Cho số thực x thỏa mãn x3 = 4. Tính giá trị biểu thức: M = 2x3 + 2(x1/2)3 - 16.
Câu 3 (1 điểm)
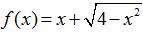
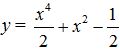
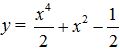
Tìm giá trị lớn nhất và giá trị nhỏ nhất của hàm số:
.
Câu 4 (1 điểm)
Trong mặt phẳng Oxy, cho điểm A(1; –2), B(4; –4). Viết phương trình đường tròn tâm O và tiếp xúc với đường thẳng AB.
Câu 5 (1 điểm)
a) Giải phương trình: 2sinx(cosx - 1) = √3 cos2x.
b) Tìm số hạng không chứa x trong khai triển nhị thức Newton của Q(x) = (2x3 + 1/x)n biết rằng ![]()
Câu 6 (1 điểm)
Cho hình chóp S.ABCD có đáy ABCD là hình vuông cạnh a, SD = 3a/2. Hình chiếu vuông góc của S trên mặt phẳng (ABCD) là trung điểm của cạnh AB. Tính theo a thể tích khối chóp S.ABCD và khoảng cách từ A đến mặt phẳng (SBD).
Câu 7 (1 điểm)
Trong mặt phẳng Oxy, cho hình chữ nhật ABCD có diện tích bằng 2. Tâm I là giao của hai đường thẳng d1: x - y - 2 và d2: 2x + 4y - 13 0. Trung điểm M của cạnh AD là giao điểm của d với trục Ox. Tìm tọa độ các đỉnh của hình chữ nhật biết điểm A có tung độ dương.
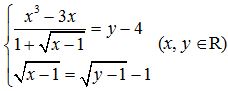
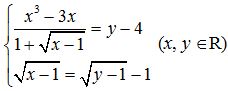
Câu 8 (1 điểm) Giải hệ phương trình 
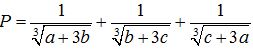
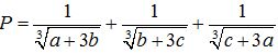
Câu 9 (1 điểm) Cho a, b, c là 3 số dương thỏa mãn a + b + c = 3/4. Tìm giá trị nhỏ nhất của biểu thức:
