Đề thi thử THPT Quốc gia môn Toán năm 2016 trường THPT Nguyễn Diêu, Bình Định
Đề thi thử THPT Quốc gia 2016 môn Toán
Đề thi thử THPT Quốc gia môn Toán năm 2016 trường THPT Nguyễn Diêu, Bình Định gồm 9 câu hỏi có đáp án đi kèm. Đây là đề luyện thi hữu ích dành cho các bạn học sinh lớp 12, những bạn chuẩn bị bước vào kì thi THPT Quốc gia 2016, mời các bạn thử sức!
Đề thi thử THPT Quốc gia môn Toán lần 1 năm 2016 trường THPT Chuyên Vĩnh Phúc
Đề thi thử THPT Quốc gia môn Toán năm 2016 trường Đại học Hồng Đức, Thanh Hóa
Tổng hợp hơn 230 đề thi thử THPT Quốc gia môn Toán năm 2016 các trường THPT trên toàn quốc
|
SỞ GIÁO DỤC & ĐÀO TẠO BÌNH ĐỊNH TRƯỜNG THPT NGUYỄN DIÊU |
ĐỀ ÔN THI THỬ THPT QUỐC GIA 2016 Môn thi: TOÁN Thời gian làm bài: 180 phút (Không kể thời gian phát đề) |
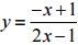
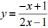
Câu 1 (2,0 điểm). Cho hàm số
có đồ thị (C).
a) Khảo sát sự biến thiên và vẽ đồ thị (C).
b) Chứng minh rằng đường thẳng d: y = x + m luôn cắt (C) tại 2 điểm phân biệt A, B với mọi giá trị m.
Câu 2 (1,0 điểm).
a) Giải phương trình sin2x + 2√3xcos2x = 0
b) Giải bất phương trình log2(x2 + 1) >1 + log2(x + 2)
Câu 3 (1,0 điểm).
a) Trong mặt phẳng tọa độ Oxy, tìm tập hợp các điểm biểu diễn số phức z thỏa mãn điều kiện log2|z - (3 - 4i)| = 1.
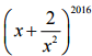
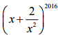
b) Tìm hệ số của số hạng chứa x2010 trong khai triển của nhị thức: 
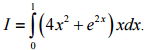
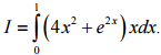
Câu 4 (1,0 điểm). Tính tích phân 
Câu 5 (1,0 điểm). Trong không gian Oxyz, cho ba điểm A(2;1;2) , B(2;0;2), C(0;1;0). Lập phương trình mặt phẳng (ABC). Tìm điểm M trên đường thẳng AC sao cho tam giác MAB cân tại M.
Câu 6 (1,0 điểm). Cho hình chóp S.ABC có đáy ABC là tam giác vuông tại B, cạnh bên SA vuông góc với đáy, biết rằng
và AC = a. Gọi H là hình chiếu của A lên SB. Tính theo a thể tích khối chóp S.ABC và khoảng cách giữa hai đường thẳng AH và SC.
Câu 7 (1,0 điểm). Trong mặt phẳng Oxy, cho tam giác ABC có hai điểm
nằm trên đường thẳng AB, phương trình đường thẳng AC là 3x - 4y + 6 = 0. Tìm tọa độ các đỉnh A, B, C biết tâm I của đường tròn nội tiếp tam giác ABC nằm trên đường thẳng d: x - y - 2 = 0 và có hoành độ lớn hơn 1, đồng thời điểm P là chân đường phân giác trong AI có hình chiếu vuông góc lên đường thẳng AB là điểm N.
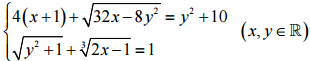
Câu 8 (1,0 điểm). Giải hệ phương trình 
Câu 9 (1,0 điểm). Cho x, y là hai số thực dương thay đổi sao cho log2(x + y) = 3 + log2x + log2y.
Tìm giá trị nhỏ nhất của biểu thức ![]()
Đáp án đề thi thử THPT Quốc gia năm 2016 môn Toán
Câu 1:

(Còn tiếp)