Đề thi thử THPT Quốc gia môn Toán năm 2016 trường THPT Thanh Hà, Hải Dương (Lần 2)
Đề thi thử THPT Quốc gia môn Toán năm 2016
Đề thi thử THPT Quốc gia môn Toán năm 2016 trường THPT Thanh Hà, Hải Dương (Lần 2) có đáp án đi kèm, là đề thi thử THPT Quốc gia môn Toán hữu ích dành cho các bạn thí sinh, giúp các bạn củng cố và chuẩn bị tốt nhất cho kì thi THPT Quốc gia, luyện thi Đại học, Cao đẳng 2016.
Đề thi thử THPT Quốc gia môn Toán năm 2016 trường THPT Chuyên Lê Quý Đôn, Đà Nẵng
Đề thi thử THPT Quốc gia môn Toán năm 2016 trường THPT Quốc Oai, Hà Nội
Tổng hợp hơn 230 đề thi thử THPT Quốc gia môn Toán năm 2016 các trường THPT trên toàn quốc
|
SỞ GIÁO DỤC & ĐÀO TẠO HẢI DƯƠNG Trường THPT Thanh Hà
ĐỀ CHÍNH THỨC |
ĐỀ THI THỬ THPT QUỐC GIA LẦN 2 Năm học 2015 - 2016 Môn: Toán, Khối 12 Thời gian làm bài: 180 phút |
Câu 1. (2,0 điểm) Cho hàm số y = -x3 + 3x2 - 2.
a) Khảo sát sự biến thiên và vẽ đồ thị (C) của hàm số.
b) Tìm m để đường thẳng d đi qua A(0;-2), có hệ số góc m cắt (C) tại ba điểm phân biệt.
Câu 2. (1,0 điểm)
a) Giải bất phương trình
.
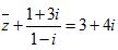
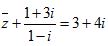
b) Tìm phần thực và phần ảo của số phức z biết số phức z thỏa mãn
.
Câu 3. (1,0 điểm) Tính tích phân
.
Câu 4. (1,0 điểm)
a) Giải phương trình sin2x + 2sinx - cosx - 1 = 0.
b) Trong cuộc thi: "Thiết kế và trình diễn các trang phục dân tộc" do Đoàn trường THPT Thanh Hà tổ chức vào tháng 3 - 2016 với thể lệ mỗi lớp tham gia một tiết mục. Kết quả có 12 tiết mục đạt giải trong đó có 4 tiết mục khối 12, có 5 tiết mục khối 11 và 3 tiết mục khối 10. Ban tổ chức chọn ngẫu nhiên 5 tiết mục biểu diễn chào mừng 26-3. Tính xác suất sao cho khối nào cũng có tiết mục được biểu diễn và trong đó có ít nhất hai tiết mục của khối 12.
Câu 5. (1,0 điểm) Trong không gian với hệ trục Oxyz, mặt cầu (S) có phương trình: x2 + y2 + z2 - 6x + 4y - 2z - 7 = 0. Viết phương trình mặt phẳng (P) đi qua B(2;1;-3), C(1;2;0) và song song với OI. Tính khoảng cách từ trung điểm của OI đến mặt phẳng (P). (O, I lần lượt là gốc tọa độ và tâm của (S))
Câu 6. (1,0 điểm) Cho hình chóp tam giác S.ABC, có góc ABC = 600, AB = 3a, BC = 2a. Hình chiếu vuông góc của S lên (ABC) là điểm H nằm trên đoạn AB sao cho AH = 2/3 AB. Đường thẳng SC tạo với (ABC) một góc 450. Tính thể tích khối chóp S.ABC và khoảng cách giữa hai đường thẳng SA, BC.
Câu 7. (1,0 điểm) Trong mặt phẳng với hệ toạ độ Oxy cho tam giác ABC vuông tại A có
. Đường thẳng AB đi qua điểm M(4; -1); đường thẳng AC đi qua N(-2; -1). Trọng tâm của tam giác ABC là G(11/3; 10/3). Viết phương trình các đường thẳng chứa các cạnh của tam giác ABC biết điểm A có tọa độ nguyên.
Câu 8. (1,0 điểm) Giải phương trình ![]()
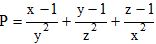
Câu 9. (1,0 điểm) Cho ba số thực x, y, z thỏa mãn x, y, z ∈ (1; +∞) và x + y + z = xyz. Tìm giá trị nhỏ nhất của biểu thức
.
Đáp án đề thi thử THPT Quốc gia môn Toán năm 2016





