Đề thi thử THPT Quốc gia năm 2016 môn Toán trường THPT Phú Nhuận, TP. Hồ Chí Minh (Lần 1)
Đề thi thử THPT Quốc gia năm 2016 môn Toán
Đề thi thử THPT Quốc gia năm 2016 môn Toán trường THPT Phú Nhuận, TP. Hồ Chí Minh (Lần 1) gồm 10 câu hỏi và đáp án đi kèm, là tài liệu ôn tập môn Toán hữu ích dành cho các bạn học sinh lớp 12, những bạn chuẩn bị bước vào kì thi THPT Quốc gia, xét tuyển thi Đại học, Cao đẳng 2016. Mời các bạn cùng tham khảo.
Đề thi thử THPT Quốc gia năm 2016 môn Hóa học trường THPT Phú Nhuận, TP. Hồ Chí Minh (Lần 1)
Đề thi thử THPT Quốc gia năm 2016 môn Ngữ văn trường THPT Phú Nhuận, TP. Hồ Chí Minh (Lần 1)
ĐỀ THI THỬ ĐẠI HỌC LẦN 1– THPT PHÚ NHUẬN - 2015-2016
Môn TOÁN: Khối A , A1, D, B
Thời gian làm bài: 180 phút, không kể thời gian phát đề
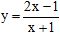
Câu 1. Khảo sát sự biến thiên và vẽ đồ thị (C) của hàm số
.
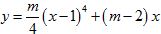
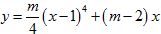
Câu 2. Tìm m để hàm số
đạt cực tiểu tại điểm x = 1.
Câu 3. a) Giải phương trình: sin3x + sinx = 2√3cosx.cos2x.
b) Cho sinα + 2cosα = 1. Tính giá trị biểu thức P = 2sin2α + 2cos2α + sin2α.
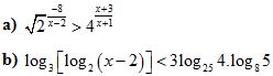
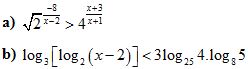
Câu 4. Giải các bất phương trình:

Câu 5. Tính
.
Câu 6. Cho hình chóp S.ABCD có đáy ABCD là hình thoi tâm O, hai đường chéo AC = 2√3a, BD = 2a; hai mặt phẳng (SAC) và (SBD) cùng vuông góc với mặt phẳng (ABCD). Biết góc giữa đường thẳng SB và mặt phẳng (SAC) bằng 300. Tính thể tích khối chóp S.ABCD và khoảng cách giữa 2 đường thẳng SB và AC.
Câu 7. Trong không gian Oxyz cho các điểm A(2; 3; 0), B(0; 1; -2), C(1; 4; -1). Viết phương trình mặt phẳng (P) chứa B, C và song song với đường thẳng OA. Tính khoảng cách từ điểm A đến đường thẳng BC.
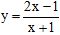
Câu 8. Giải phương trình:
trên tập số thực.
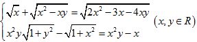
Câu 9. Giải hệ phương trình: 
Câu 10. Trong mặt phẳng Oxy, cho tam giác ABC có trực tâm H(-2; -4), AB = 2√10 và M(8; 1) là trung điểm cạnh AC. Tìm tọa độ các đỉnh của tam giác ABC biết (CH): x - 3y - 10 = 0 và tung độ của đỉnh A nhỏ hơn tung độ đỉnh B.
Đáp án đề thi thử THPT Quốc gia năm 2016 môn Toán





